Use the DELETE statement to remove rows from:
An unpartitioned or partitioned table
The unpartitioned or partitioned base table of a view
The unpartitioned or partitioned container table of a writable materialized view
The unpartitioned or partitioned master table of an updatable materialized view
For you to delete rows from a table, the table must be in your own schema or you must have the DELETE object privilege on the table.
For you to delete rows from an updatable materialized view, the materialized view must be in your own schema or you must have the DELETE object privilege on the materialized view.
For you to delete rows from the base table of a view, the owner of the schema containing the view must have the DELETE object privilege on the base table. Also, if the view is in a schema other than your own, then you must have the DELETE object privilege on the view.
The DELETE ANY TABLE system privilege also allows you to delete rows from any table or table partition or from the base table of any view.
You must also have the SELECT object privilege on the object from which you want to delete if:
The object is on a remote database or
The SQL92_SECURITY initialization parameter is set to TRUE and the DELETE operation references table columns, such as the columns in a where_clause
You cannot delete rows from a table if a function-based index on the table has become invalid. You must first validate the function-based index.

(DML_table_expression_clause::=, where_clause::=, returning_clause ::=, error_logging_clause ::=)
DML_table_expression_clause::=

(partition_extension_clause::=, subquery::=, subquery_restriction_clause::=, table_collection_expression::=)

subquery_restriction_clause::=

table_collection_expression::=
where_clause::=
returning_clause ::=


Specify a comment that passes instructions to the optimizer on choosing an execution plan for the statement.
See Also:
"Hints" for the syntax and description of hintsUse the FROM clause to specify the database objects from which you are deleting rows.
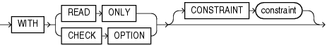
The ONLY syntax is relevant only for views. Use the ONLY clause if the view in the FROM clause belongs to a view hierarchy and you do not want to delete rows from any of its subviews.
Use this clause to specify the objects from which data is being deleted.
Specify the schema containing the table or view. If you omit schema, then Oracle Database assumes the table or view is in your own schema.
table | view | materialized view | subquery
Specify the name of a table, view, materialized view, or the column or columns resulting from a subquery, from which the rows are to be deleted.
When you delete rows from an updatable view, Oracle Database deletes rows from the base table.
You cannot delete rows from a read-only materialized view. If you delete rows from a writable materialized view, then the database removes the rows from the underlying container table. However, the deletions are overwritten at the next refresh operation. If you delete rows from an updatable materialized view that is part of a materialized view group, then the database also removes the corresponding rows from the master table.
If table or the base table of view or the master table of materialized_view contains one or more domain index columns, then this statement executes the appropriate indextype delete routine.
See Also:
Oracle Database Data Cartridge Developer's Guide for more information on these routinesIssuing a DELETE statement against a table fires any DELETE triggers defined on the table.
All table or index space released by the deleted rows is retained by the table and index.
Specify the name or partition key value of the partition or subpartition targeted for deletes within the object.
You need not specify the partition name when deleting values from a partitioned object. However, in some cases, specifying the partition name is more efficient than a complicated where_clause.
See Also:
"References to Partitioned Tables and Indexes" and "Deleting Rows from a Partition: Example"Specify the complete or partial name of a database link to a remote database where the object is located. You can delete rows from a remote object only if you are using Oracle Database distributed functionality.
See Also:
"References to Objects in Remote Databases" for information on referring to database links and "Deleting Rows from a Remote Database: Example"If you omit dblink, then the database assumes that the object is located on the local database.
The subquery_restriction_clause lets you restrict the subquery in one of the following ways:
WITH READ ONLY Specify WITH READ ONLY to indicate that the table or view cannot be updated.
WITH CHECK OPTION Specify WITH CHECK OPTION to indicate that Oracle Database prohibits any changes to the table or view that would produce rows that are not included in the subquery. When used in the subquery of a DML statement, you can specify this clause in a subquery in the FROM clause but not in subquery in the WHERE clause.
CONSTRAINT constraint Specify the name of the CHECK OPTION constraint. If you omit this identifier, then Oracle automatically assigns the constraint a name of the form SYS_Cn, where n is an integer that makes the constraint name unique within the database.
The table_collection_expression lets you inform Oracle that the value of collection_expression should be treated as a table for purposes of query and DML operations. The collection_expression can be a subquery, a column, a function, or a collection constructor. Regardless of its form, it must return a collection value—that is, a value whose type is nested table or varray. This process of extracting the elements of a collection is called collection unnesting.
The optional plus (+) is relevant if you are joining the TABLE collection expression with the parent table. The + creates an outer join of the two, so that the query returns rows from the outer table even if the collection expression is null.
Note:
In earlier releases of Oracle, whencollection_expression was a subquery, table_collection_expression was expressed as THE subquery. That usage is now deprecated.You can use a table_collection_expression in a correlated subquery to delete rows with values that also exist in another table.
See Also:
"Table Collections: Examples"collection_expression Specify a subquery that selects a nested table column from the object from which you are deleting.
Restrictions on the dml_table_expression_clause Clause This clause is subject to the following restrictions:
You cannot execute this statement if table or the base or master table of view or materialized_view contains any domain indexes marked IN_PROGRESS or FAILED.
You cannot insert into a partition if any affected index partitions are marked UNUSABLE.
You cannot specify the ORDER BY clause in the subquery of the DML_table_expression_clause.
You cannot delete from a view except through INSTEAD OF triggers if the defining query of the view contains one of the following constructs:
DISTINCT operatorGROUP BY, ORDER BY, MODEL, CONNECT BY, or START WITH clauseSELECT listSELECT listWITH READ ONLYIf you specify an index, index partition, or index subpartition that has been marked UNUSABLE, then the DELETE statement will fail unless the SKIP_UNUSABLE_INDEXES initialization parameter has been set to true.
See Also:
ALTER SESSIONUse the where_clause to delete only rows that satisfy the condition. The condition can reference the object from which you are deleting and can contain a subquery. You can delete rows from a remote object only if you are using Oracle Database distributed functionality. Refer to Chapter 7, "Conditions" for the syntax of condition.
If this clause contains a subquery that refers to remote objects, then the DELETE operation can run in parallel as long as the reference does not loop back to an object on the local database. However, if the subquery in the DML_table_expression_clause refers to any remote objects, then the DELETE operation will run serially without notification. Refer to the parallel_clause in the CREATE TABLE documentation for additional information.
If you omit dblink, then the database assumes that the table or view is located on the local database.
If you omit the where_clause, then the database deletes all rows of the object.
t_alias Provide a correlation name for the table, view, materialized view, subquery, or collection value to be referenced elsewhere in the statement. This alias is required if the DML_table_expression_clause references any object type attributes or object type methods. Table aliases are generally used in DELETE statements with correlated queries.
This clause lets you return values from deleted columns, and thereby eliminate the need to issue a SELECT statement following the DELETE statement.
The returning clause retrieves the rows affected by a DML statement. You can specify this clause for tables and materialized views and for views with a single base table.
When operating on a single row, a DML statement with a returning_clause can retrieve column expressions using the affected row, rowid, and REFs to the affected row and store them in host variables or PL/SQL variables.
When operating on multiple rows, a DML statement with the returning_clause stores values from expressions, rowids, and REFs involving the affected rows in bind arrays.
expr Each item in the expr list must be a valid expression syntax.
INTO The INTO clause indicates that the values of the changed rows are to be stored in the variable(s) specified in data_item list.
data_item Each data_item is a host variable or PL/SQL variable that stores the retrieved expr value.
For each expression in the RETURNING list, you must specify a corresponding type-compatible PL/SQL variable or host variable in the INTO list.
Restrictions The following restrictions apply to the RETURNING clause:
The expr is restricted as follows:
For UPDATE and DELETE statements each expr must be a simple expression or a single-set aggregate function expression. You cannot combine simple expressions and single-set aggregate function expressions in the same returning_clause. For INSERT statements, each expr must be a simple expression. Aggregate functions are not supported in an INSERT statement RETURNING clause.
Single-set aggregate function expressions cannot include the DISTINCT keyword.
If the expr list contains a primary key column or other NOT NULL column, then the update statement fails if the table has a BEFORE UPDATE trigger defined on it.
You cannot specify the returning_clause for a multitable insert.
You cannot use this clause with parallel DML or with remote objects.
You cannot retrieve LONG types with this clause.
You cannot specify this clause for a view on which an INSTEAD OF trigger has been defined.
See Also:
Oracle Database PL/SQL Language Reference for information on using the BULK COLLECT clause to return multiple values to collection variables
The error_logging_clause has the same behavior in DELETE statement as it does in an INSERT statement. Refer to the INSERT statement error_logging_clause for more information.
Deleting Rows: Examples The following statement deletes all rows from the sample table oe.product_descriptions where the value of the language_id column is AR:
DELETE FROM product_descriptions WHERE language_id = 'AR';
The following statement deletes from the sample table hr.employees purchasing clerks whose commission rate is less than 10%:
DELETE FROM employees WHERE job_id = 'SA_REP' AND commission_pct < .2;
The following statement has the same effect as the preceding example, but uses a subquery:
DELETE FROM (SELECT * FROM employees) WHERE job_id = 'SA_REP' AND commission_pct < .2;
Deleting Rows from a Remote Database: Example The following statement deletes specified rows from the locations table owned by the user hr on a database accessible by the database link remote:
DELETE FROM hr.locations@remote WHERE location_id > 3000;
Deleting Nested Table Rows: Example For an example that deletes nested table rows, refer to "Table Collections: Examples".
Deleting Rows from a Partition: Example The following example removes rows from partition sales_q1_1998 of the sh.sales table:
DELETE FROM sales PARTITION (sales_q1_1998) WHERE amount_sold > 1000;
Using the RETURNING Clause: Example
The following example returns column salary from the deleted rows and stores the result in bind variable :bnd1. The bind variable must already have been declared.
DELETE FROM employees
WHERE job_id = 'SA_REP'
AND hire_date + TO_YMINTERVAL('01-00') < SYSDATE
RETURNING salary INTO :bnd1;