Use the CREATE TABLE statement to create one of the following types of tables:
A relational table, which is the basic structure to hold user data.
An object table, which is a table that uses an object type for a column definition. An object table is explicitly defined to hold object instances of a particular type.
You can also create an object type and then use it in a column when creating a relational table.
Tables are created with no data unless a subquery is specified. You can add rows to a table with the INSERT statement. After creating a table, you can define additional columns, partitions, and integrity constraints with the ADD clause of the ALTER TABLE statement. You can change the definition of an existing column or partition with the MODIFY clause of the ALTER TABLE statement.
See Also:
Oracle Database Administrator's Guide and CREATE TYPE for more information about creating objects
ALTER TABLE and DROP TABLE for information on modifying and dropping tables
To create a relational table in your own schema, you must have the CREATE TABLE system privilege. To create a table in another user's schema, you must have the CREATE ANY TABLE system privilege. Also, the owner of the schema to contain the table must have either space quota on the tablespace to contain the table or the UNLIMITED TABLESPACE system privilege.
In addition to these table privileges, to create an object table or a relational table with an object type column, the owner of the table must have the EXECUTE object privilege in order to access all types referenced by the table, or you must have the EXECUTE ANY TYPE system privilege. These privileges must be granted explicitly and not acquired through a role.
Additionally, if the table owner intends to grant access to the table to other users, then the owner must have been granted the EXECUTE object privilege on the referenced types WITH GRANT OPTION, or have the EXECUTE ANY TYPE system privilege WITH ADMIN OPTION. Without these privileges, the table owner has insufficient privileges to grant access to the table to other users.
To enable a unique or primary key constraint, you must have the privileges necessary to create an index on the table. You need these privileges because Oracle Database creates an index on the columns of the unique or primary key in the schema containing the table.
To create an external table, you must have the required read and write operating system privileges on the appropriate operating system directories. You must have the READ object privilege on the database directory object corresponding to the operating system directory in which the external data resides. You must also have the WRITE object privilege on the database directory in which the files will reside if you specify a log file or bad file in the opaque_format_spec or if you unload data into an external table from a database table by specifying the AS subquery clause.
To create an XMLType table in a different database schema from your own, you must have not only privilege CREATE ANY TABLE but also privilege CREATE ANY INDEX. This is because a unique index is created on column OBJECT_ID when you create the table. Column OBJECT_ID stores a system-generated object identifier.
See Also:
Oracle Database Administrator's Guide for more information about the privileges required to create tables using types

(relational_table::=, object_table ::=, XMLType_table ::=)

Note:
Each of the clauses following the table name is optional for any given relational table. However, for every table you must at least specify either column names and data types using therelational_properties clause or an AS subquery clause using the table_properties clause.(relational_properties::=, physical_properties::=, table_properties::=)
object_table ::=

(object_table_substitution ::=, object_properties::=, oid_clause::=, oid_index_clause::=, physical_properties::=, table_properties::=)
XMLType_table ::=

(XMLType_storage::=, XMLSchema_spec::=, XMLType_virtual_columns::=, oid_clause::=, oid_index_clause::=, physical_properties::=, table_properties::=)

(column_definition::=, virtual_column_definition ::=, constraint::=, supplemental_logging_props ::=)

(encryption_spec ::=, constraint::=)

encryption_spec ::=


(constraint::=, supplemental_logging_props ::=)
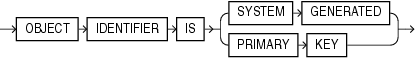
oid_clause::=


(physical_attributes_clause::=)

(deferred_segment_creation::=, segment_attributes_clause ::=, table_compression::=, index_org_table_clause ::=, external_table_clause ::=)


(physical_attributes_clause::=, logging_clause::=)



(column_properties::=, table_partitioning_clauses ::=, parallel_clause ::=, enable_disable_clause ::=, row_movement_clause ::=, flashback_archive_clause::=, subquery::=)

(object_type_col_properties::=, nested_table_col_properties ::=, varray_col_properties ::=, LOB_storage_clause::=, LOB_partition_storage::=, XMLType_column_properties ::=)
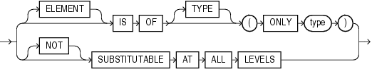
substitutable_column_clause::=

nested_table_col_properties ::=

(substitutable_column_clause::=, object_properties::=, physical_properties::=, column_properties::=)

(substitutable_column_clause::=, varray_storage_clause::=)



(LOB_parameters::=, storage_clause::=)

(LOB_deduplicate_clause::=, LOB_compression_clause::=, encryption_spec ::=, logging_clause::=)
Note:
Several of the LOB parameters are no longer needed if you are using SecureFiles for LOB storage. Refer to LOB_storage_parameters for more information.




(LOB_storage_clause::=, varray_col_properties ::=, LOB_partitioning_storage::=)

(XMLType_storage::=, XMLSchema_spec::=)






(mapping_table_clauses::=, key_compression ::=, index_org_overflow_clause ::=)

key_compression ::=

(segment_attributes_clause ::=)
supplemental_logging_props ::=

supplemental_log_grp_clause::=




(opaque_format_spec: This clause specifies all access parameters for the ORACLE_LOADER and ORACLE_DATAPUMP access drivers. See Oracle Database Utilities for descriptions of these parameters.)
table_partitioning_clauses ::=

(range_partitions::=, list_partitions ::=, hash_partitions ::=, composite_range_partitions::=, composite_list_partitions::=, composite_hash_partitions::=, reference_partitioning::=, system_partitioning::=)

(range_values_clause::=, table_partition_description::=)
list_partitions ::=

(list_values_clause::=, table_partition_description::=)
hash_partitions ::=

(individual_hash_partitions::=, hash_partitions_by_quantity::=)

(partitioning_storage_clause::=)
hash_partitions_by_quantity::=

(table_compression::=, key_compression ::=)

(subpartition_by_range::=. subpartition_by_list::=, subpartition_by_hash::=, range_partition_desc::=)

(subpartition_by_range::=. subpartition_by_list::=, subpartition_by_hash::=, list_partition_desc::=)

(subpartition_by_range::=, subpartition_by_list::=, subpartition_by_hash::=, individual_hash_partitions::=, hash_partitions_by_quantity::=)

(constraint::=, reference_partition_desc::=)
(table_partition_description::=)


(range_values_clause::=, table_partition_description::=, range_subpartition_desc::=, list_subpartition_desc::=, individual_hash_subparts::=, hash_subparts_by_quantity::=)

(list_values_clause::=, table_partition_description::=, range_subpartition_desc::=, list_subpartition_desc::=, individual_hash_subparts::=, hash_subparts_by_quantity::=)

(range_subpartition_desc::=, list_subpartition_desc::=, individual_hash_subparts::=)


(range_values_clause::=, partitioning_storage_clause::=)
(list_values_clause::=, partitioning_storage_clause::=)
(partitioning_storage_clause::=)



table_partition_description::=

(deferred_segment_creation::=, segment_attributes_clause ::=, table_compression::=, key_compression ::=, segment_attributes_clause ::=, LOB_storage_clause::=, varray_col_properties ::=, nested_table_col_properties ::=)
partitioning_storage_clause::=

(table_compression::=, key_compression ::=, LOB_partitioning_storage::=)

parallel_clause ::=


(using_index_clause ::=, exceptions_clause not supported in CREATE TABLE statements)

(create_index::=, index_properties::=)

(global_partitioned_index::=, local_partitioned_index ::=—part of CREATE INDEX, index_attributes::=, domain_index_clause and XMLIndex_clause: not supported in using_index_clause)

(physical_attributes_clause::=, logging_clause::=, key_compression ::=, parallel_clause: not supported in using_index_clause)
Specify GLOBAL TEMPORARY to indicate that the table is temporary and that its definition is visible to all sessions with appropriate privileges. The data in a temporary table is visible only to the session that inserts the data into the table.
When you first create a temporary table, its table metadata is stored in the data dictionary, but no space is allocated for table data. Space is allocated for the table segment at the time of the first DML operation on the table. The temporary table definition persists in the same way as the definitions of regular tables, but the table segment and any data the table contains are either session-specific or transaction-specific data. You specify whether the table segment and data are session- or transaction-specific with the ON COMMIT keywords.
You can perform DDL operations (such as ALTER TABLE, DROP TABLE, CREATE INDEX) on a temporary table only when no session is bound to it. A session becomes bound to a temporary table by performing an INSERT operation on the table. A session becomes unbound to the temporary table by issuing a TRUNCATE statement or at session termination, or, for a transaction-specific temporary table, by issuing a COMMIT or ROLLBACK statement.
See Also:
Oracle Database Concepts for information on temporary tables and "Creating a Table: Temporary Table Example"Restrictions on Temporary Tables Temporary tables are subject to the following restrictions:
Temporary tables cannot be partitioned, clustered, or index organized.
You cannot specify any foreign key constraints on temporary tables.
Temporary tables cannot contain columns of nested table.
You cannot specify the following clauses of the LOB_storage_clause: TABLESPACE, storage_clause, or logging_clause.
Parallel UPDATE, DELETE and MERGE are not supported for temporary tables.
The only part of the segment_attributes_clause you can specify for a temporary table is TABLESPACE, which allows you to specify a single temporary tablespace.
Distributed transactions are not supported for temporary tables.
Specify the schema to contain the table. If you omit schema, then the database creates the table in your own schema.
Specify the name of the table or object table to be created. The name must satisfy the requirements listed in "Database Object Naming Rules".
See Also:
"Creating Tables: General Examples"The relational properties describe the components of a relational table.
The column_definition lets you define the characteristics of the column.
Specify the name of a column of the table.
If you also specify AS subquery, then you can omit column and datatype unless you are creating an index-organized table. If you specify AS subquery when creating an index-organized table, then you must specify column, and you must omit datatype.
The absolute maximum number of columns in a table is 1000. When you create an object table or a relational table with columns of object, nested table, varray, or REF type, Oracle Database maps the columns of the user-defined types to relational columns, in effect creating hidden columns that count toward the 1000-column limit.
Specify the data type of a column.
Notes on Table Column Data Types The following notes apply to the data types of table columns:
If you specify AS subquery, then you can omit datatype. If you are creating an index-organized table and you specify AS subquery, then you must omit the data type.
You can also omit datatype if the statement designates the column as part of a foreign key in a referential integrity constraint. Oracle Database automatically assigns to the column the data type of the corresponding column of the referenced key of the referential integrity constraint.
Do not create a table with LONG columns. Use LOB columns (CLOB, NCLOB, BLOB) instead. LONG columns are supported only for backward compatibility.
Restriction on Table Column Data Types You can specify a column of type ROWID, but Oracle Database does not guarantee that the values in such columns are valid rowids.
The SORT keyword is valid only if you are creating this table as part of a hash cluster and only for columns that are also cluster columns.
This clause instructs the database to sort the rows of the cluster on this column after applying the hash function when performing a DML operation. Doing so may improve response time during subsequent operations on the clustered data.
See Also:
"CLUSTER Clause" for information on creating a cluster tableThe DEFAULT clause lets you specify a value to be assigned to the column if a subsequent INSERT statement omits a value for the column. The data type of the expression must match the data type of the column. The column must also be long enough to hold this expression.
The DEFAULT expression can include any SQL function as long as the function does not return a literal argument, a column reference, or a nested function invocation.
Restriction on Default Column Values A DEFAULT expression cannot contain references to PL/SQL functions or to other columns, the pseudocolumns CURRVAL, NEXTVAL, LEVEL, PRIOR, and ROWNUM, or date constants that are not fully specified.
The ENCRYPT clause lets you use the Transparent Data Encryption (TDE) feature to encrypt the column you are defining. You can encrypt columns of type CHAR, NCHAR, VARCHAR2, NVARCHAR2, NUMBER, DATE, LOB, and RAW. The data does not appear in its encrypted form to authorized users, such as the user who encrypts the column.
Note:
Column encryption requires that a system administrator with appropriate privileges has initialized the security module, opened a wallet, and set an encryption key. Refer to Oracle Database Advanced Security Administrator's Guide for general information on encryption and to security_clauses for relatedALTER SYSTEM statements.Use this clause to specify the name of the algorithm to be used. Valid algorithms are AES256, AES192, AES128 and 3DES168. If you omit this clause, then the database uses AES192. If you encrypt more than one column in the same table, and if you specify the USING clause for one of the columns, then you must specify the same encryption algorithm for all the encrypted columns.
IDENTIFIED BY password If you specify this clause, then the database derives the column key from the specified password.
'integrity_algorithm' Use this clause to specify the integrity algorithm to be used. Valid integrity algorithms are SHA-1 and NOMAC.
If you specify SHA-1, then TDE uses the Secure Hash Algorithm (SHA-1) and adds a 20-byte Message Authentication Code (MAC) to each encrypted value for integrity checking. This is the default.
If you specify NOMAC, then TDE does not add a MAC and does not perform the integrity check. This saves 20 bytes of disk space per encrypted value. Refer to Oracle Database Advanced Security Administrator's Guide for more information on using NOMAC to save disk space and improve performance.
All encrypted columns in a table must use the same integrity algorithm. If you already have a table column using the SHA-1 algorithm, then you cannot use the NOMAC parameter to encrypt another column in the same table. Refer to the REKEY encryption_spec clause of ALTER TABLE to learn how to change the integrity algorithm used by all encrypted columns in a table.
SALT | NO SALT Specify SALT to instruct the database to append a random string, called "salt," to the clear text of the column before encrypting it. This is the default.
Specify NO SALT to prevent the database from appending salt to the clear text of the column before encrypting it.
The following considerations apply when specifying SALT or NO SALT for encrypted columns:
If you want to use the column as an index key, then you must specify NO SALT. Refer to Oracle Database Advanced Security Administrator's Guide for a description of "salt" in this context.
If you specify table compression for the table, then the database does not compress the data in encrypted columns with SALT.
You cannot specify SALT or NO SALT for LOB encryption.
Restrictions on encryption_spec: The following restrictions apply to column encryption:
Transparent Data Encryption is not supported by the traditional import and export utilities or by transportable-tablespace-based export. Use the Data Pump import and export utilities with encrypted columns instead.
To encrypt a column in an external table, the table must use ORACLE_DATAPUMP as its access type.
You cannot encrypt a column in tables owned by SYS.
You cannot encrypt a foreign key column.
See Also:
Oracle Database Advanced Security Administrator's Guide for more information about Transparent Data EncryptionThe virtual_column_definition clause lets you create a virtual column. A virtual column is not stored on disk. Rather, the database derives the values in a virtual column on demand by computing a set of expressions or functions. Virtual columns can be used in queries, DML, and DDL statements. They can be indexed, and you can collect statistics on them. Thus, they can be treated much as other columns. Exceptions and restrictions are listed below in "Notes on Virtual Columns" and "Restrictions on Virtual Columns".
For column, specify the name of the virtual column.
You can optionally specify the data type of the virtual column. If you omit datatype, then the database determines the data type of the column based on the data type of the underlying expressions. All Oracle scalar data types and XMLType are supported.
The keywords GENERATED ALWAYS are provided for syntactic clarity. They indicate that the column is not stored on disk, but is evaluated on demand.
The AS column_expression clause determines the content of the column. Refer to "Column Expressions" for more information on column_expression.
The keyword VIRTUAL is optional and for syntactic clarity.
If column_expression refers to a column on which column-level security is implemented, then the virtual column does not inherit the security rules of the base column. In such a case, you must ensure that data in the virtual column is protected, either by duplicating a column-level security policy on the virtual column or by applying a function that implicitly masks the data. For example, it is common for credit card numbers to be protected by a column-level security policy, while still allowing call center employees to view the last four digits of the credit card number for validation purposes. In such a case, you could define the virtual column to take a substring of the last four digits of the credit card number.
A table index defined on a virtual column is equivalent to a function-based index on the table.
You cannot directly update a virtual column. Thus, you cannot specify a virtual column in the SET clause of an UPDATE statement. However, you can specify a virtual column in the WHERE clause of an UPDATE statement. Likewise, you can specify a virtual column in the WHERE clause of a DELETE statement to delete rows from a table based on the derived value of the virtual column.
A query that specifies in its FROM clause a table containing a virtual column is eligible for result caching. Refer to "RESULT_CACHE Hint" for more information on result caching.
The column_expression can refer to a PL/SQL function if the function is explicitly designated DETERMINISTIC during its creation. However, if the function is subsequently replaced, definitions dependent on the virtual column are not invalidated. In such a case, if the table contains data, queries that reference the virtual column may return incorrect results if the virtual column is used in the definition of constraints, indexes, or materialized views or for result caching. Therefore, in order to replace the deterministic PL/SQL function for a virtual column.
Disable and re-enable any constraints on the virtual column.
Rebuild any indexes on the virtual column.
Fully refresh materialized views accessing the virtual column.
Flush the result cache if cached queries have accessed the virtual column.
Regather statistics on the table.
Restrictions on Virtual Columns
You can create virtual columns only in relational heap tables. Virtual columns are not supported for index-organized, external, object, cluster, or temporary tables.
The column_expression in the AS clause has the following restrictions:
It cannot refer to another virtual column by name.
Any columns referenced in column_expression must be defined on the same table.
It can refer to a deterministic user-defined function, but if it does, then you cannot use the virtual column as a partitioning key column.
The output of column_expression must be a scalar value.
The virtual column cannot be an Oracle supplied data type, a user-defined type, or LOB or LONG RAW.
You cannot specify a call to a PL/SQL function in the defining expression for a virtual column that you want to use as a partitioning column.
See Also:
"Adding a Virtual Table Column: Example" and Oracle Database Administrator's Guide for examples of creating tables with virtual columnsUse these clauses to create constraints on the table columns. You must specify a PRIMARY KEY constraint for an index-organized table, and it cannot be DEFERRABLE. Refer to constraint for syntax and description of these constraints as well as examples.
inline_ref_constraint and out_of_line_ref_constraint These clauses let you describe a column of type REF. The only difference between these clauses is that you specify out_of_line_ref_constraint from the table level, so you must identify the REF column or attribute you are defining. Specify inline_ref_constraint as part of the definition of the REF column or attribute.
See Also:
"REF Constraint Examples"inline_constraint Use the inline_constraint to define an integrity constraint as part of the column definition.
You can create UNIQUE, PRIMARY KEY, and REFERENCES constraints on scalar attributes of object type columns. You can also create NOT NULL constraints on object type columns and CHECK constraints that reference object type columns or any attribute of an object type column.
out_of_line_constraint Use the out_of_line_constraint syntax to define an integrity constraint as part of the table definition.
The supplemental_logging_props clause lets you instruct the database to put additional data into the log stream to support log-based tools.
supplemental_log_grp_clause Use this clause to create a named log group.
The NO LOG clause lets you omit from the redo log one or more columns that would otherwise be included in the redo for the named log group. You must specify at least one fixed-length column without NO LOG in the named log group.
If you specify ALWAYS, then during an update, the database includes in the redo all columns in the log group. This is called an unconditional log group (sometimes called an "always log group"), because Oracle Database supplementally logs all the columns in the log group when the associated row is modified. If you omit ALWAYS, then the database supplementally logs all the columns in the log group only if any column in the log group is modified. This is called a conditional log group.
You can query the appropriate USER_, ALL_, or DBA_LOG_GROUP_COLUMNS data dictionary view to determine whether any supplemental logging has already been specified.
supplemental_id_key_clause Use this clause to specify that all or a combination of the primary key, unique key, and foreign key columns should be supplementally logged. Oracle Database will generate either an unconditional log group or a conditional log group. With an unconditional log group, the database supplementally logs all the columns in the log group when the associated row is modified. With a conditional log group, the database supplementally logs all the columns in the log group only if any column in the log group is modified.
If you specify ALL COLUMNS, then the database includes in the redo log all the fixed-length maximum size columns of that row. Such a redo log is a system-generated unconditional log group.
If you specify PRIMARY KEY COLUMNS, then for all tables with a primary key, the database places into the redo log all columns of the primary key whenever an update is performed. Oracle Database evaluates which columns to supplementally log as follows:
First the database chooses columns of the primary key constraint, if the constraint is validated or marked RELY and is not marked as DISABLED or INITIALLY DEFERRED.
If no primary key columns exist, then the database looks for the smallest UNIQUE index with at least one NOT NULL column and uses the columns in that index.
If no such index exists, then the database supplementally logs all scalar columns of the table.
If you specify UNIQUE COLUMNS, then for all tables with a unique key or a bitmap index, if any of the unique key or bitmap index columns are modified, the database places into the redo log all other columns belonging to the unique key or bitmap index. Such a log group is a system-generated conditional log group.
If you specify FOREIGN KEY COLUMNS, then for all tables with a foreign key, if any foreign key columns are modified, the database places into the redo log all other columns belonging to the foreign key. Such a redo log is a system-generated conditional log group.
If you specify this clause multiple times, then the database creates a separate log group for each specification. You can query the appropriate USER_, ALL_, or DBA_LOG_GROUPS data dictionary view to determine whether any supplemental logging data has already been specified.
The ON COMMIT clause is relevant only if you are creating a temporary table. This clause specifies whether the data in the temporary table persists for the duration of a transaction or a session.
DELETE ROWS Specify DELETE ROWS for a transaction-specific temporary table. This is the default. Oracle Database will truncate the table (delete all its rows) after each commit.
PRESERVE ROWS Specify PRESERVE ROWS for a session-specific temporary table. Oracle Database will truncate the table (delete all its rows) when you terminate the session.
The physical properties relate to the treatment of extents and segments and to the storage characteristics of the table.
Use this clause to determine when the database should create the segment(s) for this table:
SEGMENT CREATION DEFERRED: This clause defers creation of the table segment — as well as segments for any LOB columns of the table, any indexes created implicitly as part of table creation, and any indexes subsequently explicitly created on the table — until the first row of data is inserted into the table. At that time, the segments for the table, LOB columns and indexes, and explicitly created indexes are all materialized and inherit any storage properties specified in this CREATE TABLE statement or, in the case of explicitly created indexes, the CREATE INDEX statement. These segments are created regardless whether the initial insert operation is uncommitted or rolled back. This is the default value.
Caution:
When creating many tables with deferred segment creation, ensure that you allocate enough space for your database so that when the first rows are inserted, there is enough space for all the new segments.SEGMENT CREATION IMMEDIATE: The table segment is created as part of this CREATE TABLE statement.
Immediate segment creation is useful, for example, if your application depends upon the object appearing in the DBA_, USER_, and ALL_SEGMENTS data dictionary views, because the object will not appear in those views until the segment is created. This clause overrides the setting of the DEFERRED_SEGMENT_CREATION initialization parameter.
To determine whether a segment has been created for an existing table or its LOB columns or indexes, query the SEGMENT_CREATED column of USER_TABLES, USER_INDEXES, or USER_LOBS.
Notes on Tables Without Segments The following rules apply to a table whose segment has not yet been materialized:
If you create this table with CREATE TABLE ... AS subquery, then if the source table has no rows, segment creation of the new table is deferred. If the source table has rows, then segment creation of the new table is not deferred.
If you specify ALTER TABLE ... ALLOCATE EXTENT before the segment is materialized, then the segment is materialized and then an extent is allocated. However the ALLOCATE EXTENT clause in a DDL statement on any indexes of the table will return an error.
In a DDL statement on the table or its LOB columns or indexes, any specification of DEALLOCATE UNUSED is silently ignored.
ONLINE operations on indexes of a table or table partition without a segment will silently be disabled; that is, they will proceed OFFLINE.
If any of the following DDL statements are executed on a table with one or more LOB columns, then the resulting partition(s) or subpartition(s) will be materialized:
ALTER TABLE SPLIT [SUB]PARTITION
ALTER TABLE MERGE [SUB]PARTITIONS
ALTER TABLE ADD [SUB]PARTITION (hash partition only)
ALTER TABLE COALESCE [SUB]PARTITION (hash partition only)
Restrictions on Deferred Segment Creation This clause is subject to the following restrictions:
You cannot defer segment creation for the following types of tables: index-organized tables, clustered tables, global temporary tables, session-specific temporary tables, internal tables, object tables, XMLType tables, AQ tables, external tables, and tables owned by SYS, SYSTEM, PUBLIC, OUTLN, or XDB.
Deferred segment creation is supported on partitions and subpartitions beginning with Oracle Database 11g Release 2 (11.2.0.2).
Deferred segment creation is not supported for bitmap join indexes and domain indexes.
Deferred segment creation is not supported in dictionary-managed tablespaces.
Deferred segment creation is not supported in the SYSTEM tablespace.
Serializable transactions do not work with deferred segment creation. Trying to insert data into an empty table with no segment created causes an error.
See Also:
Oracle Database Concepts for general information on segment allocation and Oracle Database Reference for more information about theDEFERRED_SEGMENT_CREATION initialization parameterThe segment_attributes_clause lets you specify physical attributes and tablespace storage for the table.
physical_attributes_clause The physical_attributes_clause lets you specify the value of the PCTFREE, PCTUSED, and INITRANS parameters and the storage characteristics of the table.
For a nonpartitioned table, each parameter and storage characteristic you specify determines the actual physical attribute of the segment associated with the table.
For partitioned tables, the value you specify for the parameter or storage characteristic is the default physical attribute of the segments associated with all partitions specified in this CREATE statement (and in subsequent ALTER TABLE ... ADD PARTITION statements), unless you explicitly override that value in the PARTITION clause of the statement that creates the partition.
If you omit this clause, then Oracle Database sets PCTFREE to 10, PCTUSED to 40, and INITRANS to 1.
See Also:
physical_attributes_clause and storage_clause for a description of these clauses
TABLESPACE Specify the tablespace in which Oracle Database creates the table, object table OIDINDEX, partition, LOB data segment, LOB index segment, or index-organized table overflow data segment. If you omit TABLESPACE, then the database creates that item in the default tablespace of the owner of the schema containing the table.
For a heap-organized table with one or more LOB columns, if you omit the TABLESPACE clause for LOB storage, then the database creates the LOB data and index segments in the tablespace where the table is created.
For an index-organized table with one or more LOB columns, if you omit TABLESPACE, then the LOB data and index segments are created in the tablespace in which the primary key index segment of the index-organized table is created.
For nonpartitioned tables, the value specified for TABLESPACE is the actual physical attribute of the segment associated with the table. For partitioned tables, the value specified for TABLESPACE is the default physical attribute of the segments associated with all partitions specified in the CREATE statement and on subsequent ALTER TABLE ... ADD PARTITION statements, unless you specify TABLESPACE in the PARTITION description.
See Also:
CREATE TABLESPACE for more information on tablespacesSpecify whether the creation of the table and of any indexes required because of constraints, partition, or LOB storage characteristics will be logged in the redo log file (LOGGING) or not (NOLOGGING).The logging attribute of the table is independent of that of its indexes.
This attribute also specifies whether subsequent direct loader (SQL*Loader) and direct-path INSERT operations against the table, partition, or LOB storage are logged (LOGGING) or not logged (NOLOGGING).
Refer to logging_clause for a full description of this clause.
The table_compression clause is valid only for heap-organized tables. Use this clause to instruct the database whether to compress data segments to reduce disk use. The COMPRESS keyword enables table compression. The NOCOMPRESS keyword disables table compression. NOCOMPRESS is the default.
When you enable table compression by specifying either COMPRESS or COMPRESS BASIC, you enable basic table compression. Oracle Database attempts to compress data during direct-path INSERT operations when it is productive to do so. The original import utility (imp) does not support direct-path INSERT, and therefore cannot import data in a compressed format.
Tables with COMPRESS or COMPRESS BASIC use a PCTFREE value of 0 to maximize compression, unless you explicitly set a value for PCTFREE in the physical_attributes_clause.
In earlier releases, this type of compression was called DSS table compression and was enabled using COMPRESS FOR DIRECT_LOAD OPERATIONS. This syntax has been deprecated.
See Also:
"Conventional and Direct-Path INSERT" for information on direct-pathINSERT operations, including restrictionsWhen you enable table compression by specifying COMPRESS FOR OLTP, you enable OLTP table compression. Oracle Database compresses data during all DML operations on the table. This form of compression is recommended for OLTP environments.
Tables with COMPRESS FOR OLTP or NOCOMPRESS use the PCTFREE default value of 10, to maximize compress while still allowing for some future DML changes to the data, unless you override this default explicitly.
In earlier releases, OLTP table compression was enabled using COMPRESS FOR ALL OPERATIONS. This syntax has been deprecated.
When you specify COMPRESS FOR QUERY or COMPRESS FOR ARCHIVE, you enable Hybrid Columnar Compression. With Hybrid Columnar Compression, data can be compressed during bulk load operations. During the load process, data is transformed into a column-oriented format and then compressed. Oracle Database uses a compression algorithm appropriate for the level you specify. In general, the higher the level, the greater the compression ratio. Hybrid Columnar Compression can result in higher compression ratios, at a greater CPU cost. Therefore, this form of compression is recommended for data that is not frequently updated.
COMPRESS FOR QUERY is useful in data warehousing environments. Valid values are LOW and HIGH, with HIGH providing a higher compression ratio. The default is HIGH.
COMPRESS FOR ARCHIVE uses higher compression ratios than COMPRESS FOR QUERY, and is useful for compressing data that will be stored for long periods of time. Valid values are LOW and HIGH, with HIGH providing the highest possible compression ratio. The default is LOW.
Tables with COMPRESS FOR QUERY or COMPRESS FOR ARCHIVE use a PCTFREE value of 0 to maximize compression, unless you explicitly set a value for PCTFREE in the physical_attributes_clause. For these tables, PCTFREE has no effect for blocks loaded using direct-path INSERT. PCTFREE is honored for blocks loaded using conventional INSERT, and for blocks created as a result of DML operations on blocks originally loaded using direct-path INSERT.
See Also:
Oracle Database Concepts for more information on Hybrid Columnar Compression, which is a feature of certain Oracle storage systemsYou can specify table compression for the following portions of a heap-organized table:
For an entire table, in the physical_properties clause of relational_table or object_table
For a range partition, in the table_partition_description of the range_partitions clause
For a composite range partition, in the table_partition_description of the range_partition_desc
For a composite list partition, in the table_partition_description of the list_partition_desc
For a list partition, in the table_partition_description of the list_partitions clause
For a system or reference partition, in the table_partition_description of the reference_partition_desc
For the storage table of a nested table, in the nested_table_col_properties clause
See Also:
Oracle Database PL/SQL Packages and Types Reference for information about theDBMS_COMPRESSION package, which helps you choose the correct compression level for an application, and Oracle Database Administrator's Guide for more information about table compression, including examplesRestrictions on Table Compression Table compression is subject to the following restrictions:
COMPRESS FOR OLTP and COMPRESS BASIC are not supported for tables with more than 255 columns.
Data segments of BasicFiles LOBs are not compressed. For information on compression of SecureFiles LOBs, see LOB_compression_clause.
You cannot drop a column from a table that uses COMPRESS BASIC, although you can set such a column as unused. All of the operations of the ALTER TABLE ... drop_column_clause are valid for tables that use COMPRESS FOR OLTP, COMPRESS FOR QUERY, and COMPRESS FOR ARCHIVE.
If you specify COMPRESS FOR OLTP, then chained rows are not compressed unless the header for the row remains in the original block and all row columns are moved to another block. If the row chaining results in leaving just the row header in the block and moving all of the row's columns to the next block, and they all fit in the next block, then the columns can be compressed.
You cannot specify any type of table compression for an index-organized table, any overflow segment or partition of an overflow segment, or any mapping table segment of an index-organized table.
You cannot specify any type of table compression for external tables or for tables that are part of a cluster.
You cannot specify any type of table compression for tables with LONG or LONG RAW columns, tables that are owned by the SYS schema and reside in the SYSTEM tablespace, or tables with ROWDEPENDENCIES enabled.
You cannot specify Hybrid Columnar Compression on tables that are enabled for flashback archiving.
You cannot specify Hybrid Columnar Compression on the following object-relational features: object tables, XMLType tables, columns with abstract data types, collections stored as tables, or OPAQUE types, including XMLType columns stored as objects.
When you update a row in a table compressed with Hybrid Columnar Compression, the ROWID of the row may change.
In tables compressed with Hybrid Columnar Compression, updates to a single row may result in locks on multiple rows. Concurrency for write transactions may therefore be affected.
If a table compressed with Hybrid Columnar Compression has a foreign key constraint, and you insert data using INSERT with the APPEND hint, then the data will be compressed to a lesser level than is typical with Hybrid Columnar Compression. To compress the data with Hybrid Columnar Compression, disable the foreign key constraint, insert the data using INSERT with the APPEND hint, and then reenable the foreign key constraint.
These keywords are deprecated and have been replaced with LOGGING and NOLOGGING, respectively. Although RECOVERABLE and UNRECOVERABLE are supported for backward compatibility, Oracle strongly recommends that you use the LOGGING and NOLOGGING keywords.
Restrictions on [UN]RECOVERABLE This clause is subject to the following restrictions:
You cannot specify RECOVERABLE for partitioned tables or LOB storage characteristics.
You cannot specify UNRECOVERABLE for partitioned or index-organized tables.
You can specify UNRECOVERABLE only with AS subquery.
The ORGANIZATION clause lets you specify the order in which the data rows of the table are stored.
HEAP HEAP indicates that the data rows of table are stored in no particular order. This is the default.
INDEX INDEX indicates that table is created as an index-organized table. In an index-organized table, the data rows are held in an index defined on the primary key for the table.
EXTERNAL EXTERNAL indicates that table is a read-only table located outside the database.
See Also:
"External Table Example"Use the index_org_table_clause to create an index-organized table. Oracle Database maintains the table rows, both primary key column values and nonkey column values, in an index built on the primary key. Index-organized tables are therefore best suited for primary key-based access and manipulation. An index-organized table is an alternative to:
A noncluster table indexed on the primary key by using the CREATE INDEX statement
A cluster table stored in an indexed cluster that has been created using the CREATE CLUSTER statement that maps the primary key for the table to the cluster key
You must specify a primary key for an index-organized table, because the primary key uniquely identifies a row. The primary key cannot be DEFERRABLE. Use the primary key instead of the rowid for directly accessing index-organized rows.
If an index-organized table is partitioned and contains LOB columns, then you should specify the index_org_table_clause first, then the LOB_storage_clause, and then the appropriate table_partitioning_clauses.
You cannot use the TO_LOB function to convert a LONG column to a LOB column in the subquery of a CREATE TABLE ... AS SELECT statement if you are creating an index-organized table. Instead, create the index-organized table without the LONG column, and then use the TO_LOB function in an INSERT ... AS SELECT statement.
The ROWID pseudocolumn of an index-organized table returns logical rowids instead of physical rowids. A column that you create with the data type ROWID cannot store the logical rowids of the IOT. The only data you can store in a column of type ROWID is rowids from heap-organized tables. If you want to store the logical rowids of an IOT, then create a column of type UROWID instead. A column of type UROWID can store both physical and logical rowids.
See Also:
"Index-Organized Table Example"Restrictions on Index-Organized Tables Index-organized tables are subject to the following restrictions:
The ROWID pseudocolumn of an index-organized table returns logical rowids instead of physical rowids. A column that you create of type ROWID cannot store the logical rowids of the IOT. The only data you can store in a ROWID column is rowids from heap-organized tables. If you want to store the logical rowids of an IOT, then create a column of type UROWID instead. A column of type UROWID can store both physical and logical rowids.
You cannot define a virtual column for an index-organized table.
You cannot specify the composite_range_partitions, composite_list_partitions, or composite_hash_partitions clauses for an index-organized table.
If the index-organized table is a nested table or varray, then you cannot specify table_partitioning_clauses.
PCTTHRESHOLD integer Specify the percentage of space reserved in the index block for an index-organized table row. PCTTHRESHOLD must be large enough to hold the primary key. All trailing columns of a row, starting with the column that causes the specified threshold to be exceeded, are stored in the overflow segment. PCTTHRESHOLD must be a value from 1 to 50. If you do not specify PCTTHRESHOLD, then the default is 50.
Restriction on PCTTHRESHOLD You cannot specify PCTTHRESHOLD for individual partitions of an index-organized table.
mapping_table_clauses Specify MAPPING TABLE to instruct the database to create a mapping of local to physical ROWIDs and store them in a heap-organized table. This mapping is needed in order to create a bitmap index on the index-organized table. If the index-organized table is partitioned, then the mapping table is also partitioned and its partitions have the same name and physical attributes as the base table partitions.
Oracle Database creates the mapping table or mapping table partition in the same tablespace as its parent index-organized table or partition. You cannot query, perform DML operations on, or modify the storage characteristics of the mapping table or its partitions.
key_compression The key_compression clauses let you enable or disable key compression for index-organized tables.
Specify COMPRESS to enable key compression, which eliminates repeated occurrence of primary key column values in index-organized tables. Use integer to specify the prefix length, which is the number of prefix columns to compress.
The valid range of prefix length values is from 1 to the number of primary key columns minus 1. The default prefix length is the number of primary key columns minus 1.
Specify NOCOMPRESS to disable key compression in index-organized tables. This is the default.
Restriction on Key Compression of Index-organized Tables At the partition level, you can specify COMPRESS, but you cannot specify the prefix length with integer.
index_org_overflow_clause The index_org_overflow_clause lets you instruct the database that index-organized table data rows exceeding the specified threshold are placed in the data segment specified in this clause.
When you create an index-organized table, Oracle Database evaluates the maximum size of each column to estimate the largest possible row. If an overflow segment is needed but you have not specified OVERFLOW, then the database raises an error and does not execute the CREATE TABLE statement. This checking function guarantees that subsequent DML operations on the index-organized table will not fail because an overflow segment is lacking.
All physical attributes and storage characteristics you specify in this clause after the OVERFLOW keyword apply only to the overflow segment of the table. Physical attributes and storage characteristics for the index-organized table itself, default values for all its partitions, and values for individual partitions must be specified before this keyword.
If the index-organized table contains one or more LOB columns, then the LOBs will be stored out-of-line unless you specify OVERFLOW, even if they would otherwise be small enough be to stored inline.
If table is partitioned, then the database equipartitions the overflow data segments with the primary key index segments.
INCLUDING column_name Specify a column at which to divide an index-organized table row into index and overflow portions. The primary key columns are always stored in the index. column_name can be either the last primary key column or any non primary key column. All non primary key columns that follow column_name are stored in the overflow data segment.
If an attempt to divide a row at column_name causes the size of the index portion of the row to exceed the specified or default PCTTHRESHOLD value, then the database breaks up the row based on the PCTTHRESHOLD value.
Restriction on the INCLUDING Clause You cannot specify this clause for individual partitions of an index-organized table.
Use the external_table_clause to create an external table, which is a read-only table whose metadata is stored in the database but whose data in stored outside the database. Among other capabilities, external tables let you query data without first loading it into the database.
See Also:
Oracle Database Data Warehousing Guide, Oracle Database Administrator's Guide, and Oracle Database Utilities for information on the uses for external tablesBecause external tables have no data in the database, you define them with a small subset of the clauses normally available when creating tables.
Within the relational_properties clause, you can specify only column and datatype.
Within the physical_properties_clause, you can specify only the organization of the table (ORGANIZATION EXTERNAL external_table_clause).
Within the table_properties clause, you can specify only the parallel_clause. The parallel_clause lets you parallelize subsequent queries on the external data and subsequent operations that populate the external table.
You can populate the external table at create time by using the AS subquery clause.
No other clauses are permitted in the same CREATE TABLE statement.
See Also:
ALTER TABLE ... "PROJECT COLUMN Clause" for information on the effect of changing the default property of the column projection
Restrictions on External Tables External tables are subject to the following restrictions:
An external table cannot be a temporary table.
You cannot specify constraints on an external table.
An external table cannot contain virtual columns.
You cannot create an index on an external table.
An external table cannot have object type, varray, or LONG columns. However, you can populate LOB columns of an external table with varray or LONG data from an internal database table.
TYPE TYPE access_driver_type indicates the access driver of the external table. The access driver is the API that interprets the external data for the database. Oracle Database provides two access drivers: ORACLE_LOADER and ORACLE_DATAPUMP. If you do not specify TYPE, then the database uses ORACLE_LOADER as the default access driver. You must specify the ORACLE_DATAPUMP access driver if you specify the AS subquery clause to unload data from one Oracle Database and reload it into the same or a different Oracle Database.
See Also:
Oracle Database Utilities for information about theORACLE_LOADER and ORACLE_DATAPUMP access driversDEFAULT DIRECTORY DEFAULT DIRECTORY lets you specify a default directory object corresponding to a directory on the file system where the external data sources may reside. The default directory can also be used by the access driver to store auxiliary files such as error logs.
ACCESS PARAMETERS The optional ACCESS PARAMETERS clause lets you assign values to the parameters of the specific access driver for this external table.
The opaque_format_spec specifies all access parameters for the ORACLE_LOADER and ORACLE_DATAPUMP access drivers. See Oracle Database Utilities for descriptions of these parameters.
Field names specified in the opaque_format_spec must match columns in the table definition. Oracle Database ignores any field in the opaque_format_spec that is not matched by a column in the table definition.
USING CLOB subquery lets you derive the parameters and their values through a subquery. The subquery cannot contain any set operators or an ORDER BY clause. It must return one row containing a single item of data type CLOB.
Whether you specify the parameters in an opaque_format_spec or derive them using a subquery, the database does not interpret anything in this clause. It is up to the access driver to interpret this information in the context of the external data.
LOCATION The LOCATION clause lets you specify one or more external data sources. Usually the location_specifier is a file, but it need not be. Oracle Database does not interpret this clause. It is up to the access driver to interpret this information in the context of the external data. You cannot use wildcards in the location_specifier to specify multiple files.
REJECT LIMIT The REJECT LIMIT clause lets you specify how many conversion errors can occur during a query of the external data before an Oracle Database error is returned and the query is aborted. The default value is 0.
The CLUSTER clause indicates that the table is to be part of cluster. The columns listed in this clause are the table columns that correspond to the cluster columns. Generally, the cluster columns of a table are the column or columns that make up its primary key or a portion of its primary key. Refer to CREATE CLUSTER for more information.
Specify one column from the table for each column in the cluster key. The columns are matched by position, not by name.
A cluster table uses the space allocation of the cluster. Therefore, do not use the PCTFREE, PCTUSED, or INITRANS parameters, the TABLESPACE clause, or the storage_clause with the CLUSTER clause.
Restrictions on Cluster Tables Cluster tables are subject to the following restrictions:
Object tables and tables containing LOB columns or columns of the Any* Oracle-supplied types cannot be part of a cluster.
You cannot specify the parallel_clause or CACHE or NOCACHE for a table that is part of a cluster.
You cannot specify CLUSTER with either ROWDEPENDENCIES or NOROWDEPENDENCIES unless the cluster has been created with the same ROWDEPENDENCIES or NOROWDEPENDENCIES setting.
The table_properties further define the characteristics of the table.
Use the column_properties clauses to specify the storage attributes of a column.
The object_type_col_properties determine storage characteristics of an object column or attribute or of an element of a collection column or attribute.
column For column, specify an object column or attribute.
substitutable_column_clause The substitutable_column_clause indicates whether object columns or attributes in the same hierarchy are substitutable for each other. You can specify that a column is of a particular type, or whether it can contain instances of its subtypes, or both.
If you specify ELEMENT, then you constrain the element type of a collection column or attribute to a subtype of its declared type.
The IS OF [TYPE] (ONLY type) clause constrains the type of the object column to a subtype of its declared type.
NOT SUBSTITUTABLE AT ALL LEVELS indicates that the object column cannot hold instances corresponding to any of its subtypes. Also, substitution is disabled for any embedded object attributes and elements of embedded nested tables and varrays. The default is SUBSTITUTABLE AT ALL LEVELS.
Restrictions on the substitutable_column_clause This clause is subject to the following restrictions:
You cannot specify this clause for an attribute of an object column. However, you can specify this clause for a object type column of a relational table and for an object column of an object table if the substitutability of the object table itself has not been set.
For a collection type column, the only part of this clause you can specify is [NOT] SUBSTITUTABLE AT ALL LEVELS.
The LOB_storage_clause lets you specify the storage attributes of LOB data segments. You must specify at least one clause after the STORE AS keywords. If you specify more than one clause, then you must specify them in the order shown in the syntax diagram, from top to bottom.
For a nonpartitioned table, this clause specifies the storage attributes of LOB data segments of the table.
For a partitioned table, Oracle Database implements this clause depending on where it is specified:
For a partitioned table specified at the table level—when specified in the physical_properties clause along with one of the partitioning clauses—this clause specifies the default storage attributes for LOB data segments associated with each partition or subpartition. These storage attributes apply to all partitions or subpartitions unless overridden by a LOB_storage_clause at the partition or subpartition level.
For an individual partition of a partitioned table—when specified as part of a table_partition_description—this clause specifies the storage attributes of the data segments of the partition or the default storage attributes of any subpartitions of the partition. A partition-level LOB_storage_clause overrides a table-level LOB_storage_clause.
For an individual subpartition of a partitioned table—when specified as part of subpartition_by_hash or subpartition_by_list—this clause specifies the storage attributes of the data segments of the subpartition. A subpartition-level LOB_storage_clause overrides both partition-level and table-level LOB_storage_clauses.
Restriction on the LOB_storage_clause: Only the TABLESPACE clause is allowed when specifying the LOB_storage_clause in a subpartition.
See Also:
Oracle Database SecureFiles and Large Objects Developer's Guide for detailed information about LOBs, including guidelines for creating gigabyte LOBs
Specify the LOB column name or LOB object attribute for which you are explicitly defining tablespace and storage characteristics that are different from those of the table. Oracle Database automatically creates a system-managed index for each LOB_item you create.
Use this clause to specify the type of LOB storage, either high-performance LOB (SecureFiles), or the traditional LOB (BasicFiles).
See Also:
Oracle Database SecureFiles and Large Objects Developer's Guide for more information about SecureFiles LOBsNote:
You cannot convert a LOB from one type of storage to the other. Instead you must migrate to SecureFiles or BasicFiles by using online redefinition or partition exchange.Specify the name of the LOB data segment. You cannot use LOB_segname if you specify more than one LOB_item.
The LOB_storage_parameters clause lets you specify various elements of LOB storage.
TABLESPACE Clause Use this clause to specify the tablespace in which LOB data is to be stored.
storage_clause Use the storage_clause to specify various aspects of LOB segment storage. Of particular interest in the context of LOB storage is the MAXSIZE clause of the storage_clause, which can be used in combination with the LOB_retention_clause of LOB_parameters. Refer to storage_clause for more information.
Several of the LOB_parameters are no longer needed if you are using SecureFiles for LOB storage. The PCTVERSION and FREEPOOLS parameters are valid and useful only if you are using BasicFiles LOB storage.
ENABLE STORAGE IN ROW If you enable storage in row, then the LOB value is stored in the row (inline) if its length is less than approximately 4000 bytes minus system control information. This is the default.
Restriction on Enabling Storage in Row For an index-organized table, you cannot specify this parameter unless you have specified an OVERFLOW segment in the index_org_table_clause.
DISABLE STORAGE IN ROW If you disable storage in row, then the LOB value is stored outside of the row out of line regardless of the length of the LOB value.
The LOB locator is always stored inline regardless of where the LOB value is stored. You cannot change the value of STORAGE IN ROW once it is set except by moving the table. See the move_table_clause in the ALTER TABLE documentation for more information.
CHUNK integer Specify the number of bytes to be allocated for LOB manipulation. If integer is not a multiple of the database block size, then the database rounds up in bytes to the next multiple. For example, if the database block size is 2048 and integer is 2050, then the database allocates 4096 bytes (2 blocks). The maximum value is 32768 (32K), which is the largest Oracle Database block size allowed. The default CHUNK size is one Oracle Database block.
The value of CHUNK must be less than or equal to the value of NEXT, either the default value or that specified in the storage_clause. If CHUNK exceeds the value of NEXT, then the database returns an error. You cannot change the value of CHUNK once it is set.
Specify the maximum percentage of overall LOB storage space used for maintaining old versions of the LOB. If the database is running in manual undo mode, then the default value is 10, meaning that older versions of the LOB data are not overwritten until they consume 10% of the overall LOB storage space.
You can specify the PCTVERSION parameter whether the database is running in manual or automatic undo mode. PCTVERSION is the default in manual undo mode. RETENTION is the default in automatic undo mode. You cannot specify both PCTVERSION and RETENTION.
This clause is not valid if you have specified SECUREFILE. If you specify both SECUREFILE and PCTVERSION, then the database silently ignores the PCTVERSION parameter.
LOB_retention_clause Use this clause to specify whether you want the LOB segment retained for flashback purposes, consistent-read purposes, both, or neither.
You can specify the RETENTION parameter only if the database is running in automatic undo mode. Oracle Database uses the value of the UNDO_RETENTION initialization parameter to determine the amount of committed undo data to retain in the database. In automatic undo mode, RETENTION is the default value unless you specify PCTVERSION. You cannot specify both PCTVERSION and RETENTION.
You can specify the optional settings after RETENTION only if you are using SecureFiles. The SECUREFILE parameter of the LOB_storage_clause indicates that the database will use SecureFiles to manage storage dynamically, taking into account factors such as the undo mode of the database.
Specify MAX to signify that the undo should be retained until the LOB segment has reached MAXSIZE. If you specify MAX, then you must also specify the MAXSIZE clause in the storage_clause.
Specify MIN if the database is in flashback mode to limit the undo retention duration for the specific LOB segment to n seconds.
Specify AUTO if you want to retain undo sufficient for consistent read purposes only.
Specify NONE if no undo is required for either consistent read or flashback purposes.
If you do not specify the RETENTION parameter, or you specify RETENTION with no optional settings, then RETENTION is set to DEFAULT, which is functionally equivalent to AUTO.
See Also:
CREATE TABLE clause LOB_storage_parameters for more information on simplified LOB storage using SecureFiles
Oracle Database SecureFiles and Large Objects Developer's Guide for more information on using SecureFiles
flashback_mode_clause of ALTER DATABASE for information on putting a database in flashback mode
FREEPOOLS integer Specify the number of groups of free lists for the LOB segment. Normally integer will be the number of instances in an Oracle Real Application Clusters environment or 1 for a single-instance database.
You can specify this parameter only if the database is running in automatic undo mode. In this mode, FREEPOOLS is the default unless you specify the FREELIST GROUPS parameter of the storage_clause. If you specify neither FREEPOOLS nor FREELIST GROUPS, then the database uses a default of FREEPOOLS 1 if the database is in automatic undo management mode and a default of FREELIST GROUPS 1 if the database is in manual undo management mode.
This clause is not valid if you have specified SECUREFILE. If you specify both SECUREFILE and FREEPOOLS, then the database silently ignores the FREEPOOLS parameter.
Restriction on FREEPOOLS You cannot specify both FREEPOOLS and the FREELIST GROUPS parameter of the storage_clause.
LOB_deduplicate_clause This clause is valid only for SecureFiles LOBs. Use the LOB_deduplicate_clause to enable or disable LOB deduplication, which is the elimination of duplicate LOB data.
The DEDUPLICATE keyword instructs the database to eliminate duplicate copies of LOBs. Using a secure hash index to detect duplication, the database coalesces LOBs with identical content into a single copy, reducing storage consumption and simplifying storage management.
If you omit this clause, then LOB deduplication is disabled by default.
This clause implements LOB deduplication for the entire LOB segment. To enable or disable deduplication for an individual LOB, use the DBMS_LOB.SETOPTIONS procedure.
See Also:
Oracle Database SecureFiles and Large Objects Developer's Guide for more information about LOB deduplication and Oracle Database PL/SQL Packages and Types Reference for information about about theDBMS_LOB packageLOB_compression_clause This clause is valid only for SecureFiles LOBs, not for BasicFiles LOBs. Use the LOB_compression_clause to instruct the database to enable or disable server-side LOB compression. Random read/write access is possible on server-side compressed LOB segments. LOB compression is independent from table compression or index compression. If you omit this clause, then NOCOMPRESS is the default.
You can specify HIGH, MEDIUM, or LOW to vary the degree of compression. The HIGH degree of compression incurs higher latency than MEDIUM but provides better compression. The LOW degree results in significantly higher decompression and compression speeds, at the cost of slightly lower compression ratio than either HIGH or MEDIUM. If you omit this optional parameter, then the default is MEDIUM.
This clause implements server-side LOB compression for the entire LOB segment. To enable or disable compression on an individual LOB, use the DBMS_LOB.SETOPTIONS procedure.
See Also:
Oracle Database SecureFiles and Large Objects Developer's Guide for more information on server-side LOB storage and Oracle Database PL/SQL Packages and Types Reference for information about client-side LOB compression using theUTL_COMPRESS supplied package and for information about the DBMS_LOB packageENCRYPT | DECRYPT These clauses are valid only for LOBs that are using SecureFiles for LOB storage. Specify ENCRYPT to encrypt all LOBs in the column. Specify DECRYPT to keep the LOB in cleartext. If you omit this clause, then DECRYPT is the default.
Refer to encryption_spec for general information on that clause. When applied to a LOB column, encryption_spec is specific to the individual LOB column, so the encryption algorithm can differ from that of other LOB columns and other non-LOB columns. Use the encryption_spec as part of the column_definition to encrypt the entire LOB column. Use the encryption_spec as part of the LOB_storage_clause in the table_partition_description to encrypt a LOB partition.
Restriction on encryption_spec for LOBs You cannot specify the SALT or NO SALT clauses of encryption_spec for LOB encryption.
See Also:
Oracle Database SecureFiles and Large Objects Developer's Guide for more information on LOB encryption and Oracle Database PL/SQL Packages and Types Reference for information theDBMS_LOB packageCACHE | NOCACHE | CACHE READS Refer to CACHE | NOCACHE | CACHE READS for information on that clause.
The LOB_partition_storage clause lets you specify a separate LOB_storage_clause or varray_col_properties clause for each partition. You must specify the partitions in the order of partition position. You can find the order of the partitions by querying the PARTITION_NAME and PARTITION_POSITION columns of the USER_IND_PARTITIONS view.
If you do not specify a LOB_storage_clause or varray_col_properties clause for a particular partition, then the storage characteristics are those specified for the LOB item at the table level. If you also did not specify any storage characteristics for the LOB item at the table level, then Oracle Database stores the LOB data partition in the same tablespace as the table partition to which it corresponds.
Restrictions on LOB_partition_storage: LOB_partition_storage is subject to the following restrictions:
In the LOB_parameters of the LOB_storage_clause, you cannot specify encryption_spec, because it is invalid to specify an encryption algorithm for partitions and subpartitions.
You can only specify the TABLESPACE clause for hash partitions and all types of subpartitions.
The varray_col_properties let you specify separate storage characteristics for the LOB in which a varray will be stored. If varray_item is a multilevel collection, then the database stores all collection items nested within varray_item in the same LOB in which varray_item is stored.
For a nonpartitioned table—when specified in the physical_properties clause without any of the partitioning clauses—this clause specifies the storage attributes of the LOB data segments of the varray.
For a partitioned table specified at the table level—when specified in the physical_properties clause along with one of the partitioning clauses—this clause specifies the default storage attributes for the varray LOB data segments associated with each partition (or its subpartitions, if any).
For an individual partition of a partitioned table—when specified as part of a table_partition_description—this clause specifies the storage attributes of the varray LOB data segments of that partition or the default storage attributes of the varray LOB data segments of any subpartitions of this partition. A partition-level varray_col_properties overrides a table-level varray_col_properties.
For an individual subpartition of a partitioned table—when specified as part of subpartition_by_hash or subpartition_by_list—this clause specifies the storage attributes of the varray data segments of this subpartition. A subpartition-level varray_col_properties overrides both partition-level and table-level varray_col_properties.
STORE AS [SECUREFILE | BASICFILE] LOB Clause If you specify STORE AS LOB, then:
If the maximum varray size is less than approximately 4000 bytes, then the database stores the varray as an inline LOB unless you have disabled storage in row.
If the maximum varray size is greater than approximately 4000 bytes or if you have disabled storage in row, then the database stores in the varray as an out-of-line LOB.
If you do not specify STORE AS LOB, then storage is based on the maximum possible size of the varray rather than on the actual size of a varray column. The maximum size of the varray is the number of elements times the element size, plus a small amount for system control information. If you omit this clause, then:
If the maximum size of the varray is less than approximately 4000 bytes, then the database does not store the varray as a LOB, but as inline data.
If the maximum size is greater than approximately 4000 bytes, then the database always stores the varray as a LOB.
If the actual size is less than approximately 4000 bytes, then it is stored as an inline LOB
If the actual size is greater than approximately 4000 bytes, then it is stored as an out-of-line LOB, as is true for other LOB columns.
substitutable_column_clause The substitutable_column_clause has the same behavior as described for object_type_col_properties.
Restriction on Varray Column Properties You cannot specify this clause on an interval partitioned table or a composite-partitioned table.
The nested_table_col_properties let you specify separate storage characteristics for a nested table, which in turn enables you to define the nested table as an index-organized table. Unless you explicitly specify otherwise in this clause:
For a nonpartitioned table, the storage table is created in the same schema and the same tablespace as the parent table.
For a partitioned table, the storage table is created in the default tablespace of the schema. By default, nested tables are equipartitioned with the partitioned base table.
In either case, the storage table uses default storage characteristics, and stores the nested table values of the column for which it was created.
You must include this clause when creating a table with columns or column attributes whose type is a nested table. Clauses within nested_table_col_properties that function the same way they function for the parent table are not repeated here.
nested_item Specify the name of a column, or of a top-level attribute of the object type of the tables, whose type is a nested table.
COLUMN_VALUE If the nested table is a multilevel collection, then the inner nested table or varray may not have a name. In this case, specify COLUMN_VALUE in place of the nested_item name.
See Also:
"Creating a Table: Multilevel Collection Example" for examples usingnested_item and COLUMN_VALUESpecify LOCAL to equipartition the nested table with the base table. This is the default. Oracle Database automatically creates a local partitioned index for the partitioned nested table.
Specify GLOBAL to indicate that the nested table is a nonpartitioned nested table of a partitioned base table.
storage_table Specify the name of the table where the rows of nested_item reside.
You cannot query or perform DML statements on storage_table directly, but you can modify its storage characteristics by specifying its name in an ALTER TABLE statement.
See Also:
ALTER TABLE for information about modifying nested table column storage characteristicsRETURN [AS] Specify what Oracle Database returns as the result of a query.
VALUE returns a copy of the nested table itself.
LOCATOR returns a collection locator to the copy of the nested table.
The locator is scoped to the session and cannot be used across sessions. Unlike a LOB locator, the collection locator cannot be used to modify the collection instance.
If you do not specify the segment_attributes_clause or the LOB_storage_clause, then the nested table is heap organized and is created with default storage characteristics.
Restrictions on Nested Table Column Properties Nested table column properties are subject to the following restrictions:
You cannot specify this clause for a temporary table.
You cannot specify this clause on an interval partitioned table or a composite-partitioned table.
You cannot specify the oid_clause.
At create time, you cannot use object_properties to specify an out_of_line_ref_constraint, inline_ref_constraint, or foreign key constraint for the attributes of a nested table. However, you can modify a nested table to add such constraints using ALTER TABLE.
See Also:
ALTER TABLE for information about modifying nested table column storage characteristics
"Nested Table Example" and "Creating a Table: Multilevel Collection Example"
The XMLType_column_properties let you specify storage attributes for an XMLTYPE column.
XMLType_storage XMLType data can be stored in binary XML, CLOB, or object-relational columns.
Specify BINARY XML to store the XML data in compact binary XML format.
Any LOB parameters you specify are applied to the underlying BLOB column created for storing the binary XML encoded value.
In earlier releases, binary XML data is stored by default in a BasicFiles LOB. Beginning with Oracle Database 11g Release 2 (11.2.0.2), if the COMPATIBLE initialization parameter is 11.2 or higher and you do not specify BASICFILE or SECUREFILE, then binary XML data is stored in a SecureFiles LOB whenever possible. If SecureFiles LOB storage is not possible then the binary XML data is stored in a BasicFiles LOB. This can occur if either of the following is true:
The tablespace for the XMLType table does not use automatic segment space management.
A setting in file init.ora prevents SecureFiles LOB storage. For example, see parameter DB_SECUREFILE in Oracle Database Reference.
Specify CLOB if you want the database to store the XMLType data in a CLOB column. Storing data in a CLOB column preserves the original content and enhances retrieval time.
If you specify LOB storage, then you can specify either LOB parameters or the XMLSchema_spec clause, but not both. Specify the XMLSchema_spec clause if you want to restrict the table or column to particular schema-based XML instances.
If you do not specify BASICFILE or SECUREFILE with this clause, then the CLOB column is stored in a BasicFiles LOB.
Note:
Oracle recommends against storingXMLType data in a CLOB column. Use of the CLOB clause in the XMLType_storage clause may be deprecated in a future release.Specify OBJECT RELATIONAL if you want the database to store the XMLType data in object-relational columns. Storing data objects relationally lets you define indexes on the relational columns and enhances query performance.
If you specify object-relational storage, then you must also specify the XMLSchema_spec clause.
Use the ALL VARRAYS AS clause if you want the database to store all varrays in an XMLType column.
In earlier releases, XMLType data is stored in a CLOB column in a BasicFiles LOB by default. Beginning with Oracle Database 11g Release 2 (11.2.0.2), if the COMPATIBLE initialization parameter is 11.2 or higher and you do not specify the XMLType_storage clause, then XMLType data is stored in a binary XML column in a SecureFiles LOB. If SecureFiles LOB storage is not possible, then it is stored in a binary XML column in a BasicFiles LOB.
See Also:
Oracle Database SecureFiles and Large Objects Developer's Guide for more information on SecureFiles LOBsRefer to the XMLSchema_spec for the full semantics of this clause.
See Also:
LOB_storage_clause for information on the LOB_segname and LOB_parameters clauses
"XMLType Column Examples" for examples of XMLType columns in object-relational tables and "Using XML in SQL Statements" for an example of creating an XMLSchema
Oracle XML DB Developer's Guide for more information on XMLType columns and tables and on creating XMLSchemas
Oracle Database PL/SQL Packages and Types Reference for information on the DBMS_XMLSCHEMA package
This clause is valid only for XMLType tables with binary XML storage, which you designate in the XMLType_storage clause. Specify the VIRTUAL COLUMNS clause to define virtual columns, which can be used as in a function-based index or in the definition of a constraint. You cannot define a constraint on such a virtual column during creation of the table, but you can use a subsequent ALTER TABLE statement to add a constraint to the column.
See Also:
Oracle XML DB Developer's Guide for examples of how to use this clause in an XML environmentUse the table_partitioning_clauses to create a partitioned table.
Notes on Partitioning in General The following notes pertain to all types of partitioning:
You can specify up to a total of 1024K-1 partitions and subpartitions.
You can create a partitioned table with just one partition. A table with one partition is different from a nonpartitioned table. For example, you cannot add a partition to a nonpartitioned table.
You can specify a name for every table and LOB partition and for every table and LOB subpartition, but you need not do so. If you omit the name, then the database generates names as follows:
If you omit a partition name, then the database generates a name of the form SYS_Pn. System-generated names for LOB data and LOB index partitions take the form SYS_LOB_Pn and SYS_IL_Pn, respectively.
If you specify a subpartition name in subpartition_template, then for each subpartition created with that template, the database generates a name by concatenating the partition name with the template subpartition name. For LOB subpartitions, the generated LOB subpartition name is a concatenation of the partition name and the template LOB segment name. In either case, if the concatenation exceeds 30 characters, then the database returns an error and the statement fails.
If you omit a subpartition name when specifying an individual subpartition, and you have not specified subpartition_template, then the database generates a name of the form SYS_SUBPn. The corresponding system-generated names for LOB data and index subpartitions are SYS_LOB_SUBPn and SYS_IL_SUBPn, respectively.
Tablespace storage can be specified at various levels in the CREATE TABLE statement for both table segments and LOB segments. The number of tablespaces does not have to equal the number of partitions or subpartitions. If the number of partitions or subpartitions is greater than the number of tablespaces, then the database cycles through the names of the tablespaces.
The database evaluates tablespace storage in the following order of descending priority:
Tablespace storage specified at the individual table subpartition or LOB subpartition level has the highest priority, followed by storage specified for the partition or LOB in the subpartition_template.
Tablespace storage specified at the individual table partition or LOB partition level. Storage parameters specified here take precedence over the subpartition_template.
Tablespace storage specified for the table
Default tablespace storage specified for the user
By default, nested tables are equipartitioned with the partitioned base table.
Restrictions on Partitioning in General All partitioning is subject to the following restrictions:
You cannot partition a table that is part of a cluster.
You cannot partition a nested table or varray that is defined as an index-organized table.
You cannot partition a table containing any LONG or LONG RAW columns.
The storage of partitioned database entities in tablespaces of different block sizes is subject to several restrictions. Refer to Oracle Database VLDB and Partitioning Guide for a discussion of these restrictions.
See Also:
"Partitioning Examples"Use the range_partitions clause to partition the table on ranges of values from the column list. For an index-organized table, the column list must be a subset of the primary key columns of the table.
Specify an ordered list of columns used to determine into which partition a row belongs. These columns are the partitioning key. You can specify virtual columns as partitioning key columns.
Use this clause to establish interval partitioning for the table. Interval partitions are partitions based on a numeric range or datetime interval. They extend range partitioning by instructing the database to create partitions of the specified range or interval automatically when data inserted into the table exceeds all of the range partitions.
For expr, specify a valid number or interval expression.
The optional STORE IN clause lets you specify one or more tablespaces into which the database will store interval partition data.
You must also specify at least one range partition using the PARTITION clause of range_partitions. The range partition key value determines the high value of the range partitions, which is called the transition point, and the database creates interval partitions for data beyond that transition point.
Restrictions on Interval Partitioning The INTERVAL clause is subject to the restrictions listed in "Restrictions on Partitioning in General" and "Restrictions on Range Partitioning". The following additional restrictions apply:
You can specify only one partitioning key column, and it must be of NUMBER, DATE, FLOAT, or TIMESTAMP data type.
This clause is not supported for index-organized tables.
This clause is not supported for tables containing nested table columns, varray columns, or XMLType columns.
You cannot create a domain index on an interval-partitioned table.
Interval partitioning is not supported at the subpartition level.
Serializable transactions do not work with interval partitioning. Trying to insert data into a partition of an interval partitioned table that does not yet have a segment causes an error.
In the VALUES clause:
You cannot specify MAXVALUE (an infinite upper bound), because doing so would defeat the purpose of the automatic addition of partitions as needed.
You cannot specify NULL values for the partitioning key column.
See Also:
Oracle Database VLDB and Partitioning Guide for more information on interval partitioningIf you specify a partition name, then the name partition must conform to the rules for naming schema objects and their part as described in "Database Object Naming Rules". If you omit partition, then the database generates a name as described in "Notes on Partitioning in General".
Specify the noninclusive upper bound for the current partition. The value list is an ordered list of literal values corresponding to the column list in the range_partitions clause. You can substitute the keyword MAXVALUE for any literal in the value list. MAXVALUE specifies a maximum value that will always sort higher than any other value, including null.
Specifying a value other than MAXVALUE for the highest partition bound imposes an implicit integrity constraint on the table.
Note:
Iftable is partitioned on a DATE column, and if the date format does not specify the first two digits of the year, then you must use the TO_DATE function with the YYYY 4-character format mask for the year. The RRRR format mask is not supported in this clause. The date format is determined implicitly by NLS_TERRITORY or explicitly by NLS_DATE_FORMAT. Refer to Oracle Database Globalization Support Guide for more information on these initialization parameters.See Also:
Oracle Database Concepts for more information about partition bounds and "Range Partitioning Example"Use the table_partition_description to define the physical and storage characteristics of the table.
The deferred_segment_creation clause, segment_attributes_clause and table_compression clause have the same function as described for the physical_properties of the table as a whole.
The key_compression clause and OVERFLOW clause have the same function as described for the index_org_table_clause .
LOB_storage_clause The LOB_storage_clause lets you specify LOB storage characteristics for one or more LOB items in this partition or in any range or list subpartitions of this partition. If you do not specify the LOB_storage_clause for a LOB item, then the database generates a name for each LOB data partition as described in "Notes on Partitioning in General".
varray_col_properties The varray_col_properties let you specify storage characteristics for one or more varray items in this partition or in any range or list subpartitions of this partition.
The nested_table_col_properties let you specify storage characteristics for one or more nested table storage table items in this partition or in any range or list subpartitions of this partition. Storage characteristics specified in this clause override any storage attributes specified at the table level.
Use the partitioning_storage_clause to specify storage characteristics for hash partitions and for range, list, and hash subpartitions.
Restrictions on partitioning_storage_clause This clause is subject to the following restrictions:
The OVERFLOW clause is relevant only for index-organized partitioned tables and is valid only within the individual_hash_partitions clause. It is not valid for range or hash partitions or for subpartitions of any type.
You can specify key_compression only for partitions of index-organized table, and you can specify COMPRESS or NOCOMPRESS, but you cannot specify the prefix length with integer.
Restrictions on Range Partitioning Range partitioning is subject to the restrictions listed in "Restrictions on Partitioning in General". The following additional restrictions apply:
You cannot specify more than 16 partitioning key columns.
Partitioning key columns must be of type CHAR, NCHAR, VARCHAR2, NVARCHAR2, VARCHAR, NUMBER, FLOAT, DATE, TIMESTAMP, TIMESTAMP WITH LOCAL TIMEZONE, or RAW.
You cannot specify NULL in the VALUES clause.
Use the list_partitions clause to partition the table on lists of literal values from column. List partitioning is useful for controlling how individual rows map to specific partitions.
list_values_clause The list_values_clause of each partition must have at least one value. No value, including NULL, can appear in more than one partition. List partitions are not ordered.
If you specify the literal NULL for a partition value in the VALUES clause, then to access data in that partition in subsequent queries, you must use an IS NULL condition in the WHERE clause, rather than a comparison condition.
The DEFAULT keyword creates a partition into which the database will insert any row that does not map to another partition. Therefore, you can specify DEFAULT for only one partition, and you cannot specify any other values for that partition. Further, the default partition must be the last partition you define. The use of DEFAULT is similar to the use of MAXVALUE for range partitions.
The string comprising the list of values for each partition can be up to 4K bytes. The total number of values for all partitions cannot exceed 64K-1.
table_partition_description The subclauses of the table_partition_description have the same behavior as described for range partitions in table_partition_description.
Restrictions on List Partitioning List partitioning is subject to the restrictions listed in "Restrictions on Partitioning in General". The following additional restrictions apply:
You can specify only one partitioning key column.
The partitioning key column must be of type CHAR, NCHAR, VARCHAR2, NVARCHAR2, VARCHAR, NUMBER, FLOAT, DATE, TIMESTAMP, TIMESTAMP WITH LOCAL TIMEZONE, or RAW.
Use the hash_partitions clause to specify that the table is to be partitioned using the hash method. Oracle Database assigns rows to partitions using a hash function on values found in columns designated as the partitioning key. You can specify individual hash partitions, or you can specify how many hash partitions the database should create.
column Specify an ordered list of columns used to determine into which partition a row belongs (the partitioning key).
individual_hash_partitions Use this clause to specify individual partitions by name.
Restriction on Specifying Individual Hash Partitions The only clauses you can specify in the partitioning_storage_clause are the TABLESPACE clause and table compression.
Note:
If your enterprise has or will have databases using different character sets, then use caution when partitioning on character columns. The sort sequence of characters is not identical in all character sets. Refer to Oracle Database Globalization Support Guide for more information on character set support.hash_partitions_by_quantity An alternative to defining individual partitions is to specify the number of hash partitions. In this case, the database assigns partition names of the form SYS_Pn. The STORE IN clause lets you specify one or more tablespaces where the hash partition data is to be stored. The number of tablespaces need not equal the number of partitions. If the number of partitions is greater than the number of tablespaces, then the database cycles through the names of the tablespaces.
For both methods of hash partitioning, for optimal load balancing you should specify a number of partitions that is a power of 2. When you specify individual hash partitions, you can specify both TABLESPACE and table compression in the partitioning_storage_clause. When you specify hash partitions by quantity, you can specify only TABLESPACE. Hash partitions inherit all other attributes from table-level defaults.
The table_compression clause has the same function as described for the table_properties of the table as a whole.
The key_compression clause and OVERFLOW clause have the same function as described for the index_org_table_clause .
Tablespace storage specified at the table level is overridden by tablespace storage specified at the partition level, which in turn is overridden by tablespace storage specified at the subpartition level.
In the individual_hash_partitions clause, the TABLESPACE clause of the partitioning_storage_clause determines tablespace storage only for the individual partition being created. In the hash_partitions_by_quantity clause, the STORE IN clause determines placement of partitions as the table is being created and the default storage location for subsequently added partitions.
See Also:
Oracle Database VLDB and Partitioning Guide for more information on hash partitioningRestrictions on Hash Partitioning Hash partitioning is subject to the restrictions listed in "Restrictions on Partitioning in General". The following additional restrictions apply:
You cannot specify more than 16 partitioning key columns.
Partitioning key columns must be of type CHAR, NCHAR, VARCHAR2, NVARCHAR2, VARCHAR, NUMBER, FLOAT, DATE, TIMESTAMP, TIMESTAMP WITH LOCAL TIMEZONE, or RAW.
Use the composite_range_partitions clause to first partition table by range, and then partition the partitions further into range, list, or hash subpartitions.
The INTERVAL clause has the same semantics for composite range partitioning that it has for range partitioning. Refer to "INTERVAL Clause" for more information.
Specify subpartition_by_range, subpartition_by_list, or subpartition_by_hash to indicate the type of subpartitioning you want for each composite range partition. Within these clauses you can specify a subpartition template, which establishes default subpartition characteristics for subpartitions created as part of this statement or subsequently created subpartitions.
After establishing the type of subpartitioning you want for the table, and optionally a subpartition template, you must define at least one range partition.
In the range_partition_desc, you must specify the range_values_clause , which has the same requirements as for noncomposite range partitions.
Use the table_partition_description to define the physical and storage characteristics of the each partition.
In the range_partition_desc, use range_subpartition_desc, list_subpartition_desc, individual_hash_subparts, or hash_subparts_by_quantity to specify characteristics for the individual subpartitions of the partition. The values you specify in these clauses supersede for these subpartitions any values you have specified in the subpartition_template.
The only characteristics you can specify for a list or hash subpartition or any LOB subpartition are TABLESPACE and table_compression.
Restrictions on Composite Range Partitioning Regardless of the type of subpartitioning, composite range partitioning is subject to the following restrictions:
The only physical attributes you can specify at the subpartition level are TABLESPACE and table compression.
You cannot specify composite partitioning for an index-organized table. Therefore, the OVERFLOW clause of the table_partition_description is not valid for composite-partitioned tables.
You cannot specify composite partitioning for tables containing nested table columns, varray columns, or XMLType columns.
See Also:
"Composite-Partitioned Table Examples" for examples of composite range partitioning and Oracle Database VLDB and Partitioning Guide for examples of composite list partitioningUse the composite_list_partitions clause to first partition table by list, and then partition the partitions further into range, list, or hash subpartitions.
Specify subpartition_by_range, subpartition_by_list, or subpartition_by_hash to indicate the type of subpartitioning you want for each composite list partition. Within these clauses you can specify a subpartition template, which establishes default subpartition characteristics for subpartitions created as part of this statement and for subsequently created subpartitions.
After establishing the type of subpartitioning you want for each composite partition, and optionally defining a subpartition template, you must define at least one list partition.
In the list_partition_desc, you must specify the list_values_clause, which has the same requirements as for noncomposite list partitions.
Use the table_partition_description to define the physical and storage characteristics of the each partition.
In the list_partition_desc, use range_subpartition_desc, list_subpartition_desc, individual_hash_subparts, or hash_subparts_by_quantity to specify characteristics for the individual subpartitions of the partition. The values you specify in these clauses supersede the for these subpartitions any values you have specified in the subpartition_template.
Restrictions on Composite List Partitioning Composite list partitioning is subject to the same restrictions as described in "Restrictions on Composite Range Partitioning".
Use the composite_hash_partitions clause to first partition table using the hash method, and then partition the partitions further into range, list, or hash subpartitions.
Specify subpartition_by_range, subpartition_by_list, or subpartition_by_hash to indicate the type of subpartitioning you want for each composite hash partition. Within these clauses you can specify a subpartition template, which establishes default subpartition characteristics for subpartitions created as part of this statement or subsequently created subpartitions.
After establishing the type of subpartitioning you want for the table, and optionally a subpartition template, you can define the hash partitions in one of the following ways:
Specify hash_partition_desc to define individual hash partitions. In the hash_partition_desc, use the partitioning_storage_clause to define the storage characteristics of the each partition. Use range_subpartition_desc, list_subpartition_desc, or individual_hash_subparts to specify characteristics for the individual subpartitions of each partition. The values you specify in these clauses supersede for these subpartitions any values you have specified in the subpartition_template.
Specify hash_partitions_by_quantity to specify the number of hash partitions. Each partition will have subpartitions as described in the subpartition template. If you do not specify a subpartition template, then each partition will have one subpartition.
If you omit these clauses, then Oracle Database creates a table with one hash partition. The partition will have subpartitions as described in the subpartition template. If you do not specify a subpartition template, then the partition will have one subpartition.
Restrictions on Composite Hash Partitioning Composite hash partitioning is subject to the same restrictions as described in "Restrictions on Composite Range Partitioning".
subpartition_template The subpartition_template is an optional element of range, list, and hash subpartitioning. The template lets you define default subpartitions for each table partition. Oracle Database will create these default subpartition characteristics in any partition for which you do not explicitly define subpartitions. This clause is useful for creating symmetric partitions. You can override this clause by explicitly defining subpartitions at the partition level, in range_subpartition_desc, list_subpartition_desc, individual_hash_subparts, or hash_subparts_by_quantity.
When defining subpartitions with a template, you can explicitly define range, list, or hash subpartitions, or you can define a quantity of hash subpartitions.
To explicitly define subpartitions, use range_subpartition_desc, list_subpartition_desc, or individual_hash_subparts. You must specify a name for each subpartition. If you specify the LOB_partitioning_clause of the partitioning_storage_clause, then you must specify LOB_segname.
To define a quantity of hash subpartitions, specify a positive integer for hash_subpartition_quantity. The database creates that number of subpartitions in each partition and assigns subpartition names of the form SYS_SUBPn.
Note:
When you specify tablespace storage for the subpartition template, it does not override any tablespace storage you have specified explicitly for the partitions oftable. To specify tablespace storage for subpartitions, do one of these things:
Omit tablespace storage at the partition level and specify tablespace storage in the subpartition template.
Define individual subpartitions with specific tablespace storage.
Restrictions on Subpartition Templates Subpartition templates are subject to the following restrictions:
If you specify TABLESPACE for one LOB subpartition, then you must specify TABLESPACE for all of the LOB subpartitions of that LOB column. You can specify the same tablespace for more than one LOB subpartition.
If you specify separate LOB storage for list subpartitions using the partitioning_storage_clause, either in the subpartition_template or when defining individual subpartitions, then you must specify LOB_segname for both LOB and varray columns.
For range-hash and list-hash composite-partitioned tables, you can override the subpartition_template for an individual partition only by specifying the individual_hash_subparts clause of range_partition_desc or list_partition_desc. If you attempt to override the subpartition_template by specifying the hash_subparts_by_quantity clause of range_partition_desc or list_partition_desc, then an error occurs.
Use the subpartition_by_range clause to indicate that the database should subpartition by range each partition in table. The subpartitioning column list is unrelated to the partitioning key but is subject to the same restrictions (see column).
You can use the subpartition_template to specify default subpartition characteristic values. See subpartition_template. The database uses these values for any subpartition in this partition for which you do not explicitly specify the characteristic.
You can also define range subpartitions individually for each partition using the range_subpartition_desc of range_partition_desc or list_partition_desc. If you omit both subpartition_template and the range_subpartition_desc, then the database creates a single MAXVALUE subpartition.
Use the subpartition_by_list clause to indicate that the database should subpartition each partition in table by literal values from column. You can specify only one list subpartitioning key column.
You can use the subpartition_template to specify default subpartition characteristic values. See subpartition_template. The database uses these values for any subpartition in this partition for which you do not explicitly specify the characteristic.
You can also define list subpartitions individually for each partition using the list_subpartition_desc of range_partition_desc or list_partition_desc. If you omit both subpartition_template and the list_subpartition_desc, then the database creates a single DEFAULT subpartition.
Restrictions on List Subpartitioning List subpartitioning is subject to the same restrictions as described in Restrictions on Composite Range Partitioning.
Use the subpartition_by_hash clause to indicate that the database should subpartition by hash each partition in table. The subpartitioning column list is unrelated to the partitioning key but is subject to the same restrictions (see column).
You can define the subpartitions using the subpartition_template or the SUBPARTITIONS integer clause. See subpartition_template. In either case, for optimal load balancing you should specify a number of partitions that is a power of 2.
If you specify SUBPARTITIONS integer, then you determine the default number of subpartitions in each partition of table, and optionally one or more tablespaces in which they are to be stored. The default value is 1. If you omit both this clause and subpartition_template, then the database will create each partition with one hash subpartition.
Notes on Composite Partitions The following notes apply to composite partitions:
For all subpartitions, you can use the range_subpartition_desc, list_subpartition_desc, individual_hash_subparts, or hash_subparts_by_quantity to specify individual subpartitions by name, and optionally some other characteristics.
Alternatively, for list and hash subpartitions:
You can specify the number of subpartitions and optionally one or more tablespaces where they are to be stored. In this case, Oracle Database assigns subpartition names of the form SYS_SUBPn.
If you omit the subpartition description and if you have created a subpartition template, then the database uses the template to create subpartitions. If you have not created a subpartition template, then the database creates one DEFAULT list subpartition or one hash subpartition.
For all types of subpartitions, if you omit the subpartitions description entirely, then the database assigns subpartition names as follows:
If you have specified a subpartition template and you have specified partition names, then the database generates subpartition names of the form partition_name underscore (_) subpartition_name (for example, P1_SUB1).
If you have not specified a subpartition template or if you have specified a subpartition template but did not specify partition names, then the database generates subpartition names of the form SYS_SUBPn.
Use this clause to partition the table by reference. Partitioning by reference is a method of equipartitioning the table being created (the child table) by a referential constraint to an existing partitioned table (the parent table). When you partition a table by reference, partition maintenance operations subsequently performed on the parent table automatically cascade to the child table. Therefore, you cannot perform partition maintenance operations on a reference-partitioned table directly.
constraint The partitioning referential constraint must meet the following conditions:
You must specify a referential integrity constraint defined on the table being created, which must refer to a primary key or unique constraint on the parent table. The constraint must be in ENABLE VALIDATE NOT DEFERRABLE state, which is the default when you specify a referential integrity constraint during table creation.
All foreign key columns referenced in constraint must be NOT NULL.
When you specify the constraint, you cannot specify the ON DELETE SET NULL clause of the references_clause.
The parent table referenced in the constraint must be an existing partitioned table. It can be partitioned by any method except interval partitioning.
The foreign and parent keys cannot contain any virtual columns that reference PL/SQL functions or LOB columns.
reference_partition_desc Use this optional clause to specify partition names and to define the physical and storage characteristics of the partition. The subclauses of the table_partition_description have the same behavior as described for range partitions in table_partition_description.
Restrictions on Reference Partitioning Reference partitioning is subject to the restrictions listed in "Restrictions on Partitioning in General". The following additional restrictions apply:
Restrictions for reference partitioning are derived from the partitioning strategy of the parent table.
You cannot specify this clause for an index-organized table, an external table, or a domain index storage table.
The parent table can be partitioned by reference, but constraint cannot be self-referential. The table being created cannot be partitioned based on a reference to itself.
If ROW MOVEMENT is enabled for the parent table, it must also be enabled for the child table.
See Also:
Oracle Database VLDB and Partitioning Guide for more information on partitioning by reference and "Reference Partitioning Example"Use this clause to create system partitions. System partitioning does not entail any partitioning key columns, nor do system partitions have any range or list bounds or hash algorithms. Rather, they provide a way to equipartition dependent tables such as nested table or domain index storage tables with partitioned base tables.
If you specify only PARTITION BY SYSTEM, then the database creates one partition with a system-generated name of the form SYS_Pn.
If you specify PARTITION BY SYSTEM PARTITIONS integer, then the database creates as many partitions as you specify in integer, which can range from 1 to 1024K-1.
The description of the partition takes the same syntax as reference partitions, so they share the reference_partition_desc. You can specify additional partition attributes with the reference_partition_desc syntax. However, within the table_partition_description, you cannot specify the OVERFLOW clause.
Restrictions on System Partitioning System partitioning is subject to the following restrictions:
You cannot system partition an index-organized table or a table that is part of a cluster.
Composite partitioning is not supported with system partitioning.
You cannot split a system partition.
You cannot specify system partitioning in a CREATE TABLE ... AS SELECT statement.
To insert data into a system-partitioned table using an INSERT INTO ... AS subquery statement, you must use partition-extended syntax to specify the partition into which the values returned by the subquery will be inserted.
See Also:
Refer to Oracle Database Data Cartridge Developer's Guide for information on the uses for system partitioning and "References to Partitioned Tables and Indexes"Use these clauses to indicate how Oracle Database should store blocks in the buffer cache. For LOB storage, you can specify CACHE, NOCACHE, or CACHE READS. For other types of storage, you can specify only CACHE or NOCACHE.
If you omit these clauses, then:
In a CREATE TABLE statement, NOCACHE is the default.
In an ALTER TABLE statement, the existing value is not changed.
The behavior of CACHE and NOCACHE described in this section does not apply when Oracle Database chooses to use direct reads or to perform table scans using parallel query.
CACHE For data that is accessed frequently, this clause indicates that the blocks retrieved for this table are placed at the most recently used end of the least recently used (LRU) list in the buffer cache when a full table scan is performed. This attribute is useful for small lookup tables.
See Also:
Oracle Database Concepts for more information on how the database maintains the least recently used (LRU) listAs a parameter in the LOB_storage_clause, CACHE specifies that the database places LOB data values in the buffer cache for faster access. The database evaluates this parameter in conjunction with the logging_clause. If you omit this clause, then the default value for both BasicFiles and SecureFiles LOBs is NOCACHE LOGGING.
Restriction on CACHE You cannot specify CACHE for an index-organized table. However, index-organized tables implicitly provide CACHE behavior.
NOCACHE For data that is not accessed frequently, this clause indicates that the blocks retrieved for this table are placed at the least recently used end of the LRU list in the buffer cache when a full table scan is performed. NOCACHE is the default for LOB storage.
As a parameter in the LOB_storage_clause, NOCACHE specifies that the LOB values are not brought into the buffer cache. NOCACHE is the default for LOB storage.
Restriction on NOCACHE You cannot specify NOCACHE for an index-organized table.
CACHE READS CACHE READS applies only to LOB storage. It specifies that LOB values are brought into the buffer cache only during read operations but not during write operations.
logging_clause Use this clause to indicate whether the storage of data blocks should be logged or not.
See Also:
logging_clause for a description of thelogging_clause when specified as part of LOB_parametersUse this clause to determine whether the results of statements or query blocks that name this table are considered for storage in the result cache. Two modes of result caching are available:
DEFAULT: Result caching is not determined at the table level. The query is considered for result caching if the RESULT_CACHE_MODE initialization parameter is set to FORCE, or if that parameter is set to MANUAL and the RESULT_CACHE hint is specified in the query. This is the default if you omit this clause.
FORCE: If all tables names in the query have this setting, then the query is always considered for caching unless the NO_RESULT_CACHE hint is specified for the query. If one or more tables named in the query are set to DEFAULT, then the effective table annotation for that query is considered to be DEFAULT, with the semantics described above.
You can query the RESULT_CACHE column of the DBA_, ALL_, and USER_TABLES data dictionary views to learn the result cache mode of the table.
The RESULT_CACHE and NO_RESULT_CACHE SQL hints take precedence over these result cache table annotations and the RESULT_CACHE_MODE initialization parameter. The RESULT_CACHE_MODE setting of FORCE in turn takes precedence over this table annotation clause.
Note:
TheRESULT_CACHE_MODE setting of FORCE is not recommended, as it can cause significant performance and latching overhead, as database and clients will try to cache all queries.See Also:
Oracle Call Interface Programmer's Guide and Oracle Database Concepts for general information about result caching
Oracle Database Performance Tuning Guide for information about using this clause
Oracle Database Reference for information about the RESULT_CACHE_MODE initialization parameter and the *_TABLES data dictionary views
"RESULT_CACHE Hint" and "NO_RESULT_CACHE Hint" for information about the hints
The parallel_clause lets you parallelize creation of the table and set the default degree of parallelism for queries and the DML INSERT, UPDATE, DELETE, and MERGE after table creation.
Note:
The syntax of theparallel_clause supersedes syntax appearing in earlier releases of Oracle. Superseded syntax is still supported for backward compatibility but may result in slightly different behavior from that documented.NOPARALLEL Specify NOPARALLEL for serial execution. This is the default.
PARALLEL Specify PARALLEL if you want Oracle to select a degree of parallelism equal to the number of CPUs available on all participating instances times the value of the PARALLEL_THREADS_PER_CPU initialization parameter.
PARALLEL integer Specification of integer indicates the degree of parallelism, which is the number of parallel threads used in the parallel operation. Each parallel thread may use one or two parallel execution servers. Normally Oracle calculates the optimum degree of parallelism, so it is not necessary for you to specify integer.
See Also:
parallel_clause for more information on this clauseNOROWDEPENDENCIES | ROWDEPENDENCIES
This clause lets you specify whether table will use row-level dependency tracking. With this feature, each row in the table has a system change number (SCN) that represents a time greater than or equal to the commit time of the last transaction that modified the row. You cannot change this setting after table is created.
ROWDEPENDENCIES Specify ROWDEPENDENCIES if you want to enable row-level dependency tracking. This setting is useful primarily to allow for parallel propagation in replication environments. It increases the size of each row by 6 bytes.
Restriction on the ROWDEPENDENCIES Clause Oracle does not support table compression for tables that use row-level dependency tracking. If you specify both the ROWDEPENDENCIES clause and the table_compression clause, then the table_compression clause is ignored. To remove the ROWDEPENDENCIES attribute, you must redefine the table using the DBMS_REDEFINITION package or recreate the table.
NOROWDEPENDENCIES Specify NOROWDEPENDENCIES if you do not want table to use the row-level dependency tracking feature. This is the default.
See Also:
Oracle Database Advanced Replication for information about the use of row-level dependency tracking in replication environmentsThe enable_disable_clause lets you specify whether Oracle Database should apply a constraint. By default, constraints are created in ENABLE VALIDATE state.
Restrictions on Enabling and Disabling Constraints Enabling and disabling constraints are subject to the following restrictions:
To enable or disable any integrity constraint, you must have defined the constraint in this or a previous statement.
You cannot enable a foreign key constraint unless the referenced unique or primary key constraint is already enabled.
In the index_properties clause of the using_index_clause, the INDEXTYPE IS ... clause is not valid in the definition of a constraint.
See Also:
constraint for more information on constraints and "Creating a Table: ENABLE/DISABLE Examples"ENABLE Clause Use this clause if you want the constraint to be applied to the data in the table. This clause is described fully in "ENABLE Clause" in the documentation on constraints.
DISABLE Clause Use this clause if you want to disable the integrity constraint. This clause is described fully in "DISABLE Clause" in the documentation on constraints.
UNIQUE The UNIQUE clause lets you enable or disable the unique constraint defined on the specified column or combination of columns.
PRIMARY KEY The PRIMARY KEY clause lets you enable or disable the primary key constraint defined on the table.
CONSTRAINT The CONSTRAINT clause lets you enable or disable the integrity constraint named constraint_name.
KEEP | DROP INDEX This clause lets you either preserve or drop the index Oracle Database has been using to enforce a unique or primary key constraint.
Restriction on Preserving and Dropping Indexes You can specify this clause only when disabling a unique or primary key constraint.
using_index_clause The using_index_clause lets you specify an index for Oracle Database to use to enforce a unique or primary key constraint, or lets you instruct the database to create the index used to enforce the constraint. This clause is discussed fully in using_index_clause in the documentation on constraints.
See Also:
CREATE INDEX for a description of index_attributes, the global_partitioned_index and local_partitioned_index clauses, NOSORT, and the logging_clause in relation to indexes
constraint for information on the using_index_clause and on PRIMARY KEY and UNIQUE constraints
"Explicit Index Control Example" for an example of using an index to enforce a constraint
CASCADE Specify CASCADE to disable any integrity constraints that depend on the specified integrity constraint. To disable a primary or unique key that is part of a referential integrity constraint, you must specify this clause.
Restriction on CASCADE You can specify CASCADE only if you have specified DISABLE.
The row_movement_clause lets you specify whether the database can move a table row. It is possible for a row to move, for example, during table compression or an update operation on partitioned data.
Caution:
If you need static rowids for data access, then do not enable row movement. For a normal (heap-organized) table, moving a row changes the rowid of the row. For a moved row in an index-organized table, the logical rowid remains valid, although the physical guess component of the logical rowid becomes inaccurate.Specify ENABLE to allow the database to move a row, thus changing the rowid.
Specify DISABLE if you want to prevent the database from moving a row, thus preventing a change of rowid.
If you omit this clause, then the database disables row movement.
Restriction on Row Movement You cannot specify this clause for a nonpartitioned index-organized table.
You must have the FLASHBACK ARCHIVE object privilege on the specified flashback data archive to specify this clause. Use this clause to enable or disable historical tracking for the table.
Specify FLASHBACK ARCHIVE to enable tracking for the table. You can specify flashback_archive to designate a particular flashback data archive for this table. The flashback data archive you specify much already exist.
If you omit flashback_archive, then the database uses the default flashback data archive designated for the system. If no default flashback data archive has been designated for the system, then you must specify flashback_archive.
Specify NO FLASHBACK ARCHIVE to disable tracking for the table. This is the default.
Restrictions on flashback_archive_clause Flashback data archives are subject to the following restrictions:
You cannot specify this clause for a nested table, clustered table, temporary table, remote table, or external table.
You cannot specify this clause for a table compressed with Hybrid Columnar Compression.
The table for which you are specifying this clause cannot contain any LONG or nested table columns.
If you specify this clause and subsequently copy the table to a different database—using the export and import utilities or the transportable tablespace feature—then the copied table will not be enabled for tracking and the archived data for the original table will not be available for the copied table.
See Also:
Oracle Database Advanced Application Developer's Guide for general information on using flashback data archives
ALTER FLASHBACK ARCHIVE for information on changing the quota and retention attributes of the flashback data archive, as well as adding or changing tablespace storage for the flashback data archive
Specify a subquery to determine the contents of the table. The rows returned by the subquery are inserted into the table upon its creation.
For object tables, subquery can contain either one expression corresponding to the table type, or the number of top-level attributes of the table type. Refer to SELECT for more information.
If subquery returns the equivalent of part or all of an existing materialized view, then the database may rewrite the query to use the materialized view in place of one or more tables specified in subquery.
See Also:
Oracle Database Data Warehousing Guide for more information on materialized views and query rewriteOracle Database derives data types and lengths from the subquery. Oracle Database follows the following rules for integrity constraints and other column and table attributes:
Oracle Database automatically defines on columns in the new table any NOT NULL constraints that have a state of NOT DEFERRABLE and VALIDATE, and were explicitly created on the corresponding columns of the selected table if the subquery selects the column rather than an expression containing the column. If any rows violate the constraint, then the database does not create the table and returns an error.
NOT NULL constraints that were implicitly created by Oracle Database on columns of the selected table (for example, for primary keys) are not carried over to the new table.
In addition, primary keys, unique keys, foreign keys, check constraints, partitioning criteria, indexes, and column default values are not carried over to the new table.
If the selected table is partitioned, then you can choose whether the new table will be partitioned the same way, partitioned differently, or not partitioned. Partitioning is not carried over to the new table. Specify any desired partitioning as part of the CREATE TABLE statement before the AS subquery clause.
A column that is encrypted using Transparent Data Encryption in the selected table will not be encrypted in the new table unless you define the column in the new table as encrypted at create time.
Note:
Oracle recommends that you encrypt sensitive columns before populating them with data. This will avoid creating clear text copies of sensitive data.If all expressions in subquery are columns, rather than expressions, then you can omit the columns from the table definition entirely. In this case, the names of the columns of table are the same as the columns in subquery.
You can use subquery in combination with the TO_LOB function to convert the values in a LONG column in another table to LOB values in a column of the table you are creating.
See Also:
Oracle Database SecureFiles and Large Objects Developer's Guide for a discussion of why and when to copy LONG data to a LOB
"Conversion Functions" for a description of how to use the TO_LOB function
SELECT for more information on the order_by_clause
parallel_clause If you specify the parallel_clause in this statement, then the database will ignore any value you specify for the INITIAL storage parameter and will instead use the value of the NEXT parameter.
See Also:
storage_clause for information on these parametersORDER BY The ORDER BY clause lets you order rows returned by the subquery.
When specified with CREATE TABLE, this clause does not necessarily order data across the entire table. For example, it does not order across partitions. Specify this clause if you intend to create an index on the same key as the ORDER BY key column. Oracle Database will cluster data on the ORDER BY key so that it corresponds to the index key.
Restrictions on the Defining Query of a Table The table query is subject to the following restrictions:
The number of columns in the table must equal the number of expressions in the subquery.
The column definitions can specify only column names, default values, and integrity constraints, not data types.
You cannot define a foreign key constraint in a CREATE TABLE statement that contains AS subquery unless the table is reference partitioned and the constraint is the table's partitioning referential constraint. In all other cases, you must create the table without the constraint and then add it later with an ALTER TABLE statement.
The OF clause lets you explicitly create an object table of type object_type. The columns of an object table correspond to the top-level attributes of type object_type. Each row will contain an object instance, and each instance will be assigned a unique, system-generated object identifier when a row is inserted. If you omit schema, then the database creates the object table in your own schema.
Object tables, as well as XMLType tables, object views, and XMLType views, do not have any column names specified for them. Therefore, Oracle defines a system-generated pseudocolumn OBJECT_ID. You can use this column name in queries and to create object views with the WITH OBJECT IDENTIFIER clause.
See Also:
"Object Column and Table Examples"Use the object_table_substitution clause to specify whether row objects corresponding to subtypes can be inserted into this object table.
NOT SUBSTITUTABLE AT ALL LEVELS NOT SUBSTITUTABLE AT ALL LEVELS indicates that the object table being created is not substitutable. In addition, substitution is disabled for all embedded object attributes and elements of embedded nested tables and arrays. The default is SUBSTITUTABLE AT ALL LEVELS.
See Also:
CREATE TYPE for more information about creating object types
"User-Defined Types", "About User-Defined Functions", "About SQL Expressions", CREATE TYPE, and Oracle Database Object-Relational Developer's Guide for more information about using REF types
The properties of object tables are essentially the same as those of relational tables. However, instead of specifying columns, you specify attributes of the object.
For attribute, specify the qualified column name of an item in an object.
The oid_clause lets you specify whether the object identifier of the object table should be system generated or should be based on the primary key of the table. The default is SYSTEM GENERATED.
Restrictions on the oid_clause This clause is subject to the following restrictions:
You cannot specify OBJECT IDENTIFIER IS PRIMARY KEY unless you have already specified a PRIMARY KEY constraint for the table.
You cannot specify this clause for a nested table.
Note:
A primary key object identifier is locally unique but not necessarily globally unique. If you require a globally unique identifier, then you must ensure that the primary key is globally unique.This clause is relevant only if you have specified the oid_clause as SYSTEM GENERATED. It specifies an index, and optionally its storage characteristics, on the hidden object identifier column.
For index, specify the name of the index on the hidden system-generated object identifier column. If you omit index, then the database generates a name.
physical_properties and table_properties
The semantics of these clauses are documented in the corresponding sections under relational tables. See physical_properties and table_properties.
Use the XMLType_table syntax to create a table of data type XMLType. Most of the clauses used to create an XMLType table have the same semantics that exist for object tables. The clauses specific to XMLType tables are described in this section.
Object tables, as well as XMLType tables, object views, and XMLType views, do not have any column names specified for them. Therefore, Oracle defines a system-generated pseudocolumn OBJECT_ID. You can use this column name in queries and to create object views with the WITH OBJECT IDENTIFIER clause.
This clause lets you specify the URL of a registered XMLSchema, either in the XMLSCHEMA clause or as part of the ELEMENT clause, and an XML element name.
You must specify an element, although the XMLSchema URL is optional. If you do specify an XMLSchema URL, then you must already have registered the XMLSchema using the DBMS_XMLSCHEMA package.
The optional ALLOW | DISALLOW clauses are valid only if you have specified BINARY XML storage.
ALLOW NONSCHEMA indicates that non-schema-based documents can be stored in the XMLType column.
DISALLOW NONSCHEMA indicates that non-schema-based documents cannot be stored in the XMLType column. This is the default.
ALLOW ANYSCHEMA indicates that any schema-based document can be stored in the XMLType column.
DISALLOW ANYSCHEMA indicates that any schema-based document cannot be stored in the XMLType column. This is the default.
See Also:
Oracle Database PL/SQL Packages and Types Reference for information on the DBMS_XMLSCHEMA package
Oracle XML DB Developer's Guide for information on creating and working with XML data
Creating Tables: General Examples
This statement shows how the employees table owned by the sample human resources (hr) schema was created. A hypothetical name is given to the table and constraints so that you can duplicate this example in your test database:
CREATE TABLE employees_demo
( employee_id NUMBER(6)
, first_name VARCHAR2(20)
, last_name VARCHAR2(25)
CONSTRAINT emp_last_name_nn_demo NOT NULL
, email VARCHAR2(25)
CONSTRAINT emp_email_nn_demo NOT NULL
, phone_number VARCHAR2(20)
, hire_date DATE DEFAULT SYSDATE
CONSTRAINT emp_hire_date_nn_demo NOT NULL
, job_id VARCHAR2(10)
CONSTRAINT emp_job_nn_demo NOT NULL
, salary NUMBER(8,2)
CONSTRAINT emp_salary_nn_demo NOT NULL
, commission_pct NUMBER(2,2)
, manager_id NUMBER(6)
, department_id NUMBER(4)
, dn VARCHAR2(300)
, CONSTRAINT emp_salary_min_demo
CHECK (salary > 0)
, CONSTRAINT emp_email_uk_demo
UNIQUE (email)
) ;
This table contains twelve columns. The employee_id column is of data type NUMBER. The hire_date column is of data type DATE and has a default value of SYSDATE. The last_name column is of type VARCHAR2 and has a NOT NULL constraint, and so on.
Creating a Table: Storage Example To define the same employees_demo table in the example tablespace with a small storage capacity, issue the following statement:
CREATE TABLE employees_demo
( employee_id NUMBER(6)
, first_name VARCHAR2(20)
, last_name VARCHAR2(25)
CONSTRAINT emp_last_name_nn_demo NOT NULL
, email VARCHAR2(25)
CONSTRAINT emp_email_nn_demo NOT NULL
, phone_number VARCHAR2(20)
, hire_date DATE DEFAULT SYSDATE
CONSTRAINT emp_hire_date_nn_demo NOT NULL
, job_id VARCHAR2(10)
CONSTRAINT emp_job_nn_demo NOT NULL
, salary NUMBER(8,2)
CONSTRAINT emp_salary_nn_demo NOT NULL
, commission_pct NUMBER(2,2)
, manager_id NUMBER(6)
, department_id NUMBER(4)
, dn VARCHAR2(300)
, CONSTRAINT emp_salary_min_demo
CHECK (salary > 0)
, CONSTRAINT emp_email_uk_demo
UNIQUE (email)
)
TABLESPACE example
STORAGE (INITIAL 8M);
Creating a Table: Temporary Table Example The following statement creates a temporary table today_sales for use by sales representatives in the sample database. Each sales representative session can store its own sales data for the day in the table. The temporary data is deleted at the end of the session.
CREATE GLOBAL TEMPORARY TABLE today_sales ON COMMIT PRESERVE ROWS AS SELECT * FROM orders WHERE order_date = SYSDATE;
Creating a Table with Deferred Segment Creation: Example
The following statement creates a table with deferred segment creation. Oracle Database will not create a segment for the data of this table until data is inserted into the table:
CREATE TABLE later (col1 NUMBER, col2 VARCHAR2(20)) SEGMENT CREATION DEFERRED;
Substitutable Table and Column Examples The following statements create a type hierarchy, which can be used to create a substitutable table. Type employee_t inherits the name and ssn attributes from type person_t and in addition has department_id and salary attributes. Type part_time_emp_t inherits all of the attributes from employee_t and, through employee_t, those of person_t and in addition has a num_hrs attribute. Type part_time_emp_t is final by default, so no further subtypes can be created under it.
CREATE TYPE person_t AS OBJECT (name VARCHAR2(100), ssn NUMBER) NOT FINAL; / CREATE TYPE employee_t UNDER person_t (department_id NUMBER, salary NUMBER) NOT FINAL; / CREATE TYPE part_time_emp_t UNDER employee_t (num_hrs NUMBER); /
The following statement creates a substitutable table from the person_t type:
CREATE TABLE persons OF person_t;
The following statement creates a table with a substitutable column of type person_t:
CREATE TABLE books (title VARCHAR2(100), author person_t);
When you insert into persons or books, you can specify values for the attributes of person_t or any of its subtypes. Examples of insert statements appear in "Inserting into a Substitutable Tables and Columns: Examples".
You can extract data from such tables using built-in functions and conditions. For examples, see the functions TREAT and SYS_TYPEID, and the "IS OF type Condition" condition.
Creating a Table: Parallelism Examples The following statement creates a table using an optimum number of parallel execution servers to scan employees and to populate dept_80:
CREATE TABLE dept_80 PARALLEL AS SELECT * FROM employees WHERE department_id = 80;
Using parallelism speeds up the creation of the table, because the database uses parallel execution servers to create the table. After the table is created, querying the table is also faster, because the same degree of parallelism is used to access the table.
The following statement creates the same table serially. Subsequent DML and queries on the table will also be serially executed.
CREATE TABLE dept_80 AS SELECT * FROM employees WHERE department_id = 80;
Creating a Table: ENABLE/DISABLE Examples The following statement shows how the sample table departments was created. The example defines a NOT NULL constraint, and places it in ENABLE VALIDATE state. A hypothetical name is given to the table so that you can duplicate this example in your test database:
CREATE TABLE departments_demo
( department_id NUMBER(4)
, department_name VARCHAR2(30)
CONSTRAINT dept_name_nn NOT NULL
, manager_id NUMBER(6)
, location_id NUMBER(4)
, dn VARCHAR2(300)
) ;
The following statement creates the same departments_demo table but also defines a disabled primary key constraint:
CREATE TABLE departments_demo
( department_id NUMBER(4) PRIMARY KEY DISABLE
, department_name VARCHAR2(30)
CONSTRAINT dept_name_nn NOT NULL
, manager_id NUMBER(6)
, location_id NUMBER(4)
, dn VARCHAR2(300)
) ;
Nested Table Example The following statement shows how the sample table pm.print_media was created with a nested table column ad_textdocs_ntab:
CREATE TABLE print_media
( product_id NUMBER(6)
, ad_id NUMBER(6)
, ad_composite BLOB
, ad_sourcetext CLOB
, ad_finaltext CLOB
, ad_fltextn NCLOB
, ad_textdocs_ntab textdoc_tab
, ad_photo BLOB
, ad_graphic BFILE
, ad_header adheader_typ
) NESTED TABLE ad_textdocs_ntab STORE AS textdocs_nestedtab;
Creating a Table: Multilevel Collection Example The following example shows how an account manager might create a table of customers using two levels of nested tables:
CREATE TYPE phone AS OBJECT (telephone NUMBER); / CREATE TYPE phone_list AS TABLE OF phone; / CREATE TYPE my_customers AS OBJECT ( cust_name VARCHAR2(25), phones phone_list); / CREATE TYPE customer_list AS TABLE OF my_customers; / CREATE TABLE business_contacts ( company_name VARCHAR2(25), company_reps customer_list) NESTED TABLE company_reps STORE AS outer_ntab (NESTED TABLE phones STORE AS inner_ntab);
The following variation of this example shows how to use the COLUMN_VALUE keyword if the inner nested table has no column or attribute name:
CREATE TYPE phone AS TABLE OF NUMBER; / CREATE TYPE phone_list AS TABLE OF phone; / CREATE TABLE my_customers ( name VARCHAR2(25), phone_numbers phone_list) NESTED TABLE phone_numbers STORE AS outer_ntab (NESTED TABLE COLUMN_VALUE STORE AS inner_ntab);
Creating a Table: LOB Column Example The following statement is a variation of the statement that created the pm.print_media table with some added LOB storage characteristics:
CREATE TABLE print_media_new
( product_id NUMBER(6)
, ad_id NUMBER(6)
, ad_composite BLOB
, ad_sourcetext CLOB
, ad_finaltext CLOB
, ad_fltextn NCLOB
, ad_textdocs_ntab textdoc_tab
, ad_photo BLOB
, ad_graphic BFILE
, ad_header adheader_typ
) NESTED TABLE ad_textdocs_ntab STORE AS textdocs_nestedtab_new
LOB (ad_sourcetext, ad_finaltext) STORE AS
(TABLESPACE example
STORAGE (INITIAL 6144)
CHUNK 4000
NOCACHE LOGGING);
In the example, the database rounds the value of CHUNK up to 4096 (the nearest multiple of the block size of 2048).
Index-Organized Table Example The following statement is a variation of the sample table hr.countries, which is index organized:
CREATE TABLE countries_demo
( country_id CHAR(2)
CONSTRAINT country_id_nn_demo NOT NULL
, country_name VARCHAR2(40)
, currency_name VARCHAR2(25)
, currency_symbol VARCHAR2(3)
, region VARCHAR2(15)
, CONSTRAINT country_c_id_pk_demo
PRIMARY KEY (country_id ) )
ORGANIZATION INDEX
INCLUDING country_name
PCTTHRESHOLD 2
STORAGE
( INITIAL 4K )
OVERFLOW
STORAGE
( INITIAL 4K );
External Table Example The following statement creates an external table that represents a subset of the sample table hr.departments. The opaque_format_spec is shown in italics. Refer to Oracle Database Utilities for information on the ORACLE_LOADER access driver and how to specify values for the opaque_format_spec.
CREATE TABLE dept_external ( deptno NUMBER(6), dname VARCHAR2(20), loc VARCHAR2(25) ) ORGANIZATION EXTERNAL (TYPE oracle_loader DEFAULT DIRECTORY admin ACCESS PARAMETERS ( RECORDS DELIMITED BY newline BADFILE 'ulcase1.bad' DISCARDFILE 'ulcase1.dis' LOGFILE 'ulcase1.log' SKIP 20 FIELDS TERMINATED BY "," OPTIONALLY ENCLOSED BY '"' ( deptno INTEGER EXTERNAL(6), dname CHAR(20), loc CHAR(25) ) ) LOCATION ('ulcase1.ctl') ) REJECT LIMIT UNLIMITED;
This section contains brief examples of creating an XMLType table or XMLType column. For a more expanded version of these examples, refer to "Using XML in SQL Statements".
XMLType Table Examples The following example creates a very simple XMLType table with one implicit binary XML column:
CREATE TABLE xwarehouses OF XMLTYPE;
The following example creates an XMLSchema-based table. The XMLSchema must already have been created (see "Using XML in SQL Statements" for more information):
CREATE TABLE xwarehouses OF XMLTYPE XMLSCHEMA "http://www.example.com/xwarehouses.xsd" ELEMENT "Warehouse";
You can define constraints on an XMLSchema-based table, and you can also create indexes on XMLSchema-based tables, which greatly enhance subsequent queries. You can create object-relational views on XMLType tables, and you can create XMLType views on object-relational tables.
See Also:
"Using XML in SQL Statements" for an example of adding a constraint
"Creating an Index on an XMLType Table: Example" for an example of creating an index
"Creating an XMLType View: Example" for an example of creating an XMLType view
XMLType Column Examples The following example creates a table with an XMLType column stored as a CLOB. This table does not require an XMLSchema, so the content structure is not predetermined:
CREATE TABLE xwarehouses (
warehouse_id NUMBER,
warehouse_spec XMLTYPE)
XMLTYPE warehouse_spec STORE AS CLOB
(TABLESPACE example
STORAGE (INITIAL 6144)
CHUNK 4000
NOCACHE LOGGING);
The following example creates a similar table, but stores XMLType data in an object relational XMLType column whose structure is determined by the specified schema:
CREATE TABLE xwarehouses (
warehouse_id NUMBER,
warehouse_spec XMLTYPE)
XMLTYPE warehouse_spec STORE AS OBJECT RELATIONAL
XMLSCHEMA "http://www.example.com/xwarehouses.xsd"
ELEMENT "Warehouse";
The following example creates another similar table with an XMLType column stored as a SecureFiles CLOB. This table does not require an XMLSchema, so the content structure is not predetermined. SecureFiles LOBs require a tablespace with automatic segment-space management, so the example uses the tablespace created in "Specifying Segment Space Management for a Tablespace: Example".
CREATE TABLE xwarehouses ( warehouse_id NUMBER, warehouse_spec XMLTYPE) XMLTYPE warehouse_spec STORE AS SECUREFILE CLOB (TABLESPACE auto_seg_ts STORAGE (INITIAL 6144) CACHE);
Range Partitioning Example The sales table in the sample schema sh is partitioned by range. The following example shows an abbreviated variation of the sales table. Constraints and storage elements have been omitted from the example.
CREATE TABLE range_sales
( prod_id NUMBER(6)
, cust_id NUMBER
, time_id DATE
, channel_id CHAR(1)
, promo_id NUMBER(6)
, quantity_sold NUMBER(3)
, amount_sold NUMBER(10,2)
)
PARTITION BY RANGE (time_id)
(PARTITION SALES_Q1_1998 VALUES LESS THAN (TO_DATE('01-APR-1998','DD-MON-YYYY')),
PARTITION SALES_Q2_1998 VALUES LESS THAN (TO_DATE('01-JUL-1998','DD-MON-YYYY')),
PARTITION SALES_Q3_1998 VALUES LESS THAN (TO_DATE('01-OCT-1998','DD-MON-YYYY')),
PARTITION SALES_Q4_1998 VALUES LESS THAN (TO_DATE('01-JAN-1999','DD-MON-YYYY')),
PARTITION SALES_Q1_1999 VALUES LESS THAN (TO_DATE('01-APR-1999','DD-MON-YYYY')),
PARTITION SALES_Q2_1999 VALUES LESS THAN (TO_DATE('01-JUL-1999','DD-MON-YYYY')),
PARTITION SALES_Q3_1999 VALUES LESS THAN (TO_DATE('01-OCT-1999','DD-MON-YYYY')),
PARTITION SALES_Q4_1999 VALUES LESS THAN (TO_DATE('01-JAN-2000','DD-MON-YYYY')),
PARTITION SALES_Q1_2000 VALUES LESS THAN (TO_DATE('01-APR-2000','DD-MON-YYYY')),
PARTITION SALES_Q2_2000 VALUES LESS THAN (TO_DATE('01-JUL-2000','DD-MON-YYYY')),
PARTITION SALES_Q3_2000 VALUES LESS THAN (TO_DATE('01-OCT-2000','DD-MON-YYYY')),
PARTITION SALES_Q4_2000 VALUES LESS THAN (MAXVALUE))
;
For information about partitioned table maintenance operations, see Oracle Database VLDB and Partitioning Guide.
Interval Partitioning Example The following example creates a variation of the oe.customers table that is partitioned by interval on the credit_limit column. One range partition is created to establish the transition point. All of the original data in the table is within the bounds of the range partition. Then data is added that exceeds the range partition, and the database creates a new interval partition.
CREATE TABLE customers_demo ( customer_id number(6), cust_first_name varchar2(20), cust_last_name varchar2(20), credit_limit number(9,2)) PARTITION BY RANGE (credit_limit) INTERVAL (1000) (PARTITION p1 VALUES LESS THAN (5001)); INSERT INTO customers_demo (customer_id, cust_first_name, cust_last_name, credit_limit) (select customer_id, cust_first_name, cust_last_name, credit_limit from customers);
Query the USER_TAB_PARTITIONS data dictionary view before the database creates the interval partition:
SELECT partition_name, high_value FROM user_tab_partitions WHERE table_name = 'CUSTOMERS_DEMO'; PARTITION_NAME HIGH_VALUE ------------------------------ --------------- P1 5001
Insert data into the table that exceeds the high value of the range partition:
INSERT INTO customers_demo VALUES (699, 'Fred', 'Flintstone', 5500);
Query the USER_TAB_PARTITIONS view again after the insert to learn the system-generated name of the interval partition created to accommodate the inserted data. (The system-generated name will vary for each session.)
SELECT partition_name, high_value FROM user_tab_partitions WHERE table_name = 'CUSTOMERS_DEMO' ORDER BY partition_name; PARTITION_NAME HIGH_VALUE ------------------------------ --------------- P1 5001 SYS_P44 6001
List Partitioning Example The following statement shows how the sample table oe.customers might have been created as a list-partitioned table. Some columns and all constraints of the sample table have been omitted in this example.
CREATE TABLE list_customers
( customer_id NUMBER(6)
, cust_first_name VARCHAR2(20)
, cust_last_name VARCHAR2(20)
, cust_address CUST_ADDRESS_TYP
, nls_territory VARCHAR2(30)
, cust_email VARCHAR2(30))
PARTITION BY LIST (nls_territory) (
PARTITION asia VALUES ('CHINA', 'THAILAND'),
PARTITION europe VALUES ('GERMANY', 'ITALY', 'SWITZERLAND'),
PARTITION west VALUES ('AMERICA'),
PARTITION east VALUES ('INDIA'),
PARTITION rest VALUES (DEFAULT));
Partitioned Table with LOB Columns Example This statement creates a partitioned table print_media_demo with two partitions p1 and p2, and a number of LOB columns. The statement uses the sample table pm.print_media.
CREATE TABLE print_media_demo
( product_id NUMBER(6)
, ad_id NUMBER(6)
, ad_composite BLOB
, ad_sourcetext CLOB
, ad_finaltext CLOB
, ad_fltextn NCLOB
, ad_textdocs_ntab textdoc_tab
, ad_photo BLOB
, ad_graphic BFILE
, ad_header adheader_typ
) NESTED TABLE ad_textdocs_ntab STORE AS textdocs_nestedtab_demo
LOB (ad_composite, ad_photo, ad_finaltext)
STORE AS(STORAGE (INITIAL 20M))
PARTITION BY RANGE (product_id)
(PARTITION p1 VALUES LESS THAN (3000) TABLESPACE tbs_01
LOB (ad_composite, ad_photo)
STORE AS (TABLESPACE tbs_02 STORAGE (INITIAL 10M))
NESTED TABLE ad_textdocs_ntab STORE AS nt_p1 (TABLESPACE example),
PARTITION P2 VALUES LESS THAN (MAXVALUE)
LOB (ad_composite, ad_finaltext)
STORE AS SECUREFILE (TABLESPACE auto_seg_ts)
NESTED TABLE ad_textdocs_ntab STORE AS nt_p2
)
TABLESPACE tbs_03;
Partition p1 will be in tablespace tbs_01. The LOB data partitions for ad_composite and ad_photo will be in tablespace tbs_02. The LOB data partition for the remaining LOB columns will be in tablespace tbs_01. The storage attribute INITIAL is specified for LOB columns ad_composite and ad_photo. Other attributes will be inherited from the default table-level specification. The default LOB storage attributes not specified at the table level will be inherited from the tablespace tbs_02 for columns ad_composite and ad_photo and from tablespace tbs_01 for the remaining LOB columns. LOB index partitions will be in the same tablespaces as the corresponding LOB data partitions. Other storage attributes will be based on values of the corresponding attributes of the LOB data partitions and default attributes of the tablespace where the index partitions reside. The nested table partition for ad_textdocs_ntab will be stored as nt_p1 in tablespace example.
Partition p2 will be in the default tablespace tbs_03. The LOB data for ad_composite and ad_finaltext will be in tablespace auto_seg_ts as SecureFiles LOBs. The LOB data for the remaining LOB columns will be in tablespace tbs_03. The LOB index for columns ad_composite and ad_finaltext will be in tablespace auto_seg_ts. The LOB index for the remaining LOB columns will be in tablespace tbs_03. The nested table partition for ad_textdocs_ntab will be stored as nt_p2 in the default tablespace tbs_03.
Hash Partitioning Example The sample table oe.product_information is not partitioned. However, you might want to partition such a large table by hash for performance reasons, as shown in this example. The tablespace names are hypothetical in this example.
CREATE TABLE hash_products
( product_id NUMBER(6) PRIMARY KEY
, product_name VARCHAR2(50)
, product_description VARCHAR2(2000)
, category_id NUMBER(2)
, weight_class NUMBER(1)
, warranty_period INTERVAL YEAR TO MONTH
, supplier_id NUMBER(6)
, product_status VARCHAR2(20)
, list_price NUMBER(8,2)
, min_price NUMBER(8,2)
, catalog_url VARCHAR2(50)
, CONSTRAINT product_status_lov_demo
CHECK (product_status in ('orderable'
,'planned'
,'under development'
,'obsolete')
) )
PARTITION BY HASH (product_id)
PARTITIONS 4
STORE IN (tbs_01, tbs_02, tbs_03, tbs_04);
Reference Partitioning Example The next statement uses the hash_products partitioned table created in the preceding example. It creates a variation of the oe.order_items table that is partitioned by reference to the hash partitioning on the product id of hash_products. The resulting child table will be created with five partitions. For each row of the child table part_order_items, the database evaluates the foreign key value (product_id) to determine the partition number of the parent table hash_products to which the referenced key belongs. The part_order_items row is placed in its corresponding partition.
CREATE TABLE part_order_items (
order_id NUMBER(12) PRIMARY KEY,
line_item_id NUMBER(3),
product_id NUMBER(6) NOT NULL,
unit_price NUMBER(8,2),
quantity NUMBER(8),
CONSTRAINT product_id_fk
FOREIGN KEY (product_id) REFERENCES hash_products(product_id))
PARTITION BY REFERENCE (product_id_fk);
Composite-Partitioned Table Examples The table created in the "Range Partitioning Example" divides data by time of sale. If you plan to access recent data according to distribution channel as well as time, then composite partitioning might be more appropriate. The following example creates a copy of that range_sales table but specifies range-hash composite partitioning. The partitions with the most recent data are subpartitioned with both system-generated and user-defined subpartition names. Constraints and storage attributes have been omitted from the example.
CREATE TABLE composite_sales
( prod_id NUMBER(6)
, cust_id NUMBER
, time_id DATE
, channel_id CHAR(1)
, promo_id NUMBER(6)
, quantity_sold NUMBER(3)
, amount_sold NUMBER(10,2)
)
PARTITION BY RANGE (time_id)
SUBPARTITION BY HASH (channel_id)
(PARTITION SALES_Q1_1998 VALUES LESS THAN (TO_DATE('01-APR-1998','DD-MON-YYYY')),
PARTITION SALES_Q2_1998 VALUES LESS THAN (TO_DATE('01-JUL-1998','DD-MON-YYYY')),
PARTITION SALES_Q3_1998 VALUES LESS THAN (TO_DATE('01-OCT-1998','DD-MON-YYYY')),
PARTITION SALES_Q4_1998 VALUES LESS THAN (TO_DATE('01-JAN-1999','DD-MON-YYYY')),
PARTITION SALES_Q1_1999 VALUES LESS THAN (TO_DATE('01-APR-1999','DD-MON-YYYY')),
PARTITION SALES_Q2_1999 VALUES LESS THAN (TO_DATE('01-JUL-1999','DD-MON-YYYY')),
PARTITION SALES_Q3_1999 VALUES LESS THAN (TO_DATE('01-OCT-1999','DD-MON-YYYY')),
PARTITION SALES_Q4_1999 VALUES LESS THAN (TO_DATE('01-JAN-2000','DD-MON-YYYY')),
PARTITION SALES_Q1_2000 VALUES LESS THAN (TO_DATE('01-APR-2000','DD-MON-YYYY')),
PARTITION SALES_Q2_2000 VALUES LESS THAN (TO_DATE('01-JUL-2000','DD-MON-YYYY'))
SUBPARTITIONS 8,
PARTITION SALES_Q3_2000 VALUES LESS THAN (TO_DATE('01-OCT-2000','DD-MON-YYYY'))
(SUBPARTITION ch_c,
SUBPARTITION ch_i,
SUBPARTITION ch_p,
SUBPARTITION ch_s,
SUBPARTITION ch_t),
PARTITION SALES_Q4_2000 VALUES LESS THAN (MAXVALUE)
SUBPARTITIONS 4)
;
The following examples creates a partitioned table of customers based on the sample table oe.customers. In this example, the table is partitioned on the credit_limit column and list subpartitioned on the nls_territory column. The subpartition template determines the subpartitioning of any subsequently added partitions, unless you override the template by defining individual subpartitions. This composite partitioning makes it possible to query the table based on a credit limit range within a specified region:
CREATE TABLE customers_part (
customer_id NUMBER(6),
cust_first_name VARCHAR2(20),
cust_last_name VARCHAR2(20),
nls_territory VARCHAR2(30),
credit_limit NUMBER(9,2))
PARTITION BY RANGE (credit_limit)
SUBPARTITION BY LIST (nls_territory)
SUBPARTITION TEMPLATE
(SUBPARTITION east VALUES
('CHINA', 'JAPAN', 'INDIA', 'THAILAND'),
SUBPARTITION west VALUES
('AMERICA', 'GERMANY', 'ITALY', 'SWITZERLAND'),
SUBPARTITION other VALUES (DEFAULT))
(PARTITION p1 VALUES LESS THAN (1000),
PARTITION p2 VALUES LESS THAN (2500),
PARTITION p3 VALUES LESS THAN (MAXVALUE));
Object Column and Table Examples
Creating Object Tables: Examples Consider object type department_typ:
CREATE TYPE department_typ AS OBJECT
( d_name VARCHAR2(100),
d_address VARCHAR2(200) );
/
Object table departments_obj_t holds department objects of type department_typ:
CREATE TABLE departments_obj_t OF department_typ;
The following statement creates object table salesreps with a user-defined object type, salesrep_typ:
CREATE OR REPLACE TYPE salesrep_typ AS OBJECT
( repId NUMBER,
repName VARCHAR2(64));
CREATE TABLE salesreps OF salesrep_typ;
Creating a Table with a User-Defined Object Identifier: Example This example creates an object type and a corresponding object table whose object identifier is primary key based:
CREATE TYPE employees_typ AS OBJECT (e_no NUMBER, e_address CHAR(30)); / CREATE TABLE employees_obj_t OF employees_typ (e_no PRIMARY KEY) OBJECT IDENTIFIER IS PRIMARY KEY;
You can subsequently reference the employees_obj_t object table using either inline_ref_constraint or out_of_line_ref_constraint syntax:
CREATE TABLE departments_t
(d_no NUMBER,
mgr_ref REF employees_typ SCOPE IS employees_obj_t);
CREATE TABLE departments_t (
d_no NUMBER,
mgr_ref REF employees_typ
CONSTRAINT mgr_in_emp REFERENCES employees_obj_t);
Specifying Constraints on Type Columns: Example The following example shows how to define constraints on attributes of an object type column:
CREATE TYPE address_t AS OBJECT
( hno NUMBER,
street VARCHAR2(40),
city VARCHAR2(20),
zip VARCHAR2(5),
phone VARCHAR2(10) );
/
CREATE TYPE person AS OBJECT
( name VARCHAR2(40),
dateofbirth DATE,
homeaddress address_t,
manager REF person );
/
CREATE TABLE persons OF person
( homeaddress NOT NULL,
UNIQUE (homeaddress.phone),
CHECK (homeaddress.zip IS NOT NULL),
CHECK (homeaddress.city <> 'San Francisco') );