The CREATE TYPE statement creates or replaces the specification of one of these:
Standalone varying array (varray) type
Standalone nested table type
Incomplete object type
An incomplete type is a type created by a forward type definition. It is called incomplete because it has a name but no attributes or methods. It can be referenced by other types, allowing you define types that refer to each other. However, you must fully specify the type before you can use it to create a table or an object column or a column of a nested table type.
The CREATE TYPE statement specifies the name of the type and its attributes, methods, and other properties. The CREATE TYPE BODY statement contains the code for the methods that implement the type.
Notes:
If you create a type whose specification declares only attributes but no methods, then you need not specify a type body.
If you create a SQLJ object type, then you cannot specify a type body. The implementation of the type is specified as a Java class.
A standalone collection type that you create with the CREATE TYPE statement differs from a collection type that you define with the keyword TYPE in a PL/SQL block or package. For information about the latter, see "Collection Variable Declaration".
With the CREATE TYPE statement, you can create nested table and VARRAY types, but not associative arrays. In a PL/SQL block or package, you can define all three collection types.

See:

See "element_spec ::=".



See:



See "call_spec ::=".


See "call_spec ::=".

See "call_spec ::=".

See "function_spec ::=".

To create a type in your schema, you must have the CREATE TYPE system privilege. To create a type in another user's schema, you must have the CREATE ANY TYPE system privilege. You can acquire these privileges explicitly or be granted them through a role.
To create a subtype, you must have the UNDER ANY TYPE system privilege or the UNDER object privilege on the supertype.
The owner of the type must be explicitly granted the EXECUTE object privilege to access all other types referenced in the definition of the type, or the type owner must be granted the EXECUTE ANY TYPE system privilege. The owner cannot obtain these privileges through roles.
If the type owner intends to grant other users access to the type, then the owner must be granted the EXECUTE object privilege on the referenced types with the GRANT OPTION or the EXECUTE ANY TYPE system privilege with the ADMIN OPTION. Otherwise, the type owner has insufficient privileges to grant access on the type to other users.
Re-creates the type if it exists, and recompiles it.
Users who were granted privileges on the type before it was redefined can still access the type without being regranted the privileges.
If any function-based indexes depend on the type, then the database marks the indexes DISABLED.
Name of the schema containing the type. Default: your schema.
Name of an ADT, a nested table type, or a VARRAY type.
If creating the type results in compilation errors, then the database returns an error. You can see the associated compiler error messages with the SQL*Plus command SHOW ERRORS.
The database implicitly defines a constructor method for each user-defined type that you create. A constructor is a system-supplied procedure that is used in SQL statements or in PL/SQL code to construct an instance of the type value. The name of the constructor method is the name of the user-defined type. You can also create a user-defined constructor using the constructor_spec syntax.
The parameters of the ADT constructor method are the data attributes of the ADT. They occur in the same order as the attribute definition order for the ADT. The parameters of a nested table or varray constructor are the elements of the nested table or the varray.
If type_name exists and has type dependents, but not table dependents, FORCE forces the statement to replace the type. (If type_name has table dependents, the statement fails with or without FORCE.)
Note:
If typet1 has type dependent t2, and type t2 has table dependents, then type t1 also has table dependents.Creates an ADT. The variables that form the data structure are called attributes. The member subprograms that define the behavior of the ADT are called methods. The keywords AS OBJECT are required when creating an ADT.
See Also:
"ADT Examples"Establishes type equivalence of identical objects in multiple databases. See Oracle Database Object-Relational Developer's Guide for information about this clause.
Specifies the AUTHID property of the member functions and procedures of the ADT. For information about the AUTHID property, see "Invoker's Rights and Definer's Rights (AUTHID Property)".
Restrictions on invoker_rights_clause This clause is subject to these restrictions:
You can specify this clause only for an ADT, not for a nested table or VARRAY type.
You can specify this clause for clarity if you are creating a subtype. However, a subtype inherits the AUTHID property of its supertype, so you cannot specify a different value than was specified for the supertype.
If the supertype was created with AUTHID DEFINER, then you must create the subtype in the same schema as the supertype.
Creates a schema-level ADT. Such ADTs are sometimes called root ADTs.
Creates a subtype of an existing type. The existing supertype must be an ADT. The subtype you create in this statement inherits the properties of its supertype. It must either override some of those properties or add properties to distinguish it from the supertype.
Creates a SQLJ object type. With a SQLJ object type, you map a Java class to a SQL user-defined type. You can then define tables or columns of the SQLJ object type as you can with any other user-defined type.
You can map one Java class to multiple SQLJ object types. If there exists a subtype or supertype of a SQLJ object type, then it must also be a SQLJ object type. All types in the hierarchy must be SQLJ object types.
See Also:
Oracle Database Object-Relational Developer's Guide for more information about creating SQLJ object typesName of the Java class. If the class exists, then it must be public. The Java external name, including the schema, is validated.
Multiple SQLJ object types can be mapped to the same class. However:
A subtype must be mapped to a class that is an immediate subclass of the class to which its supertype is mapped.
Two subtypes of a common supertype cannot be mapped to the same class.
SQLData | CustomDatum | OraData
Specifies the mechanism for creating the Java instance of the type. SQLData, CustomDatum, and OraData are the interfaces that determine which mechanism to use.
See Also:
Oracle Database JDBC Developer's Guide for information about these three interfaces and "SQLJ Object Type Example"Specifies each attribute of the ADT.
Name of an ADT attribute. An ADT attribute is a data item with a name and a type specifier that forms the structure of the ADT. You must specify at least one attribute for each ADT. The name must be unique in the ADT, but can be used in other ADTs.
If you are creating a subtype, then the attribute name cannot be the same as any attribute or method name declared in the supertype chain.
The data type of an ADT attribute. This data type must be stored in the database; that is, either a predefined data type or a user-defined standalone collection type. For information about predefined data types, see Chapter 3, "PL/SQL Data Types." For information about user-defined standalone collection types, see "Collection Types".
You cannot impose the NOT NULL constraint on an attribute.
You cannot specify attributes of type ROWID, LONG, or LONG RAW.
You cannot specify a data type of UROWID for an ADT.
If you specify an object of type REF, then the target object must have an object identifier.
If you are creating a collection type for use as a nested table or varray column of a table, then you cannot specify attributes of type ANYTYPE, ANYDATA, or ANYDATASET.
This clause is valid only if you have specified the sqlj_object_type clause to map a Java class to a SQLJ object type. Specify the external name of the Java field that corresponds to the attribute of the SQLJ object type. The Java field_name must exist in the class. You cannot map a Java field_name to multiple SQLJ object type attributes in the same type hierarchy.
This clause is optional when you create a SQLJ object type.
Associates a procedure subprogram with the ADT.
A function or procedure subprogram associated with the ADT that is referenced as an attribute. Typically, you invoke MEMBER methods in a selfish style, such as object_expression.method(). This class of method has an implicit first argument referenced as SELF in the method body, which represents the object on which the method was invoked.
Restriction on MEMBER You cannot specify a MEMBER method if you are mapping a Java class to a SQLJ object type.
See Also:
"Creating a Member Method: Example"A function or procedure subprogram associated with the ADT. Unlike MEMBER methods, STATIC methods do not have any implicit parameters. You cannot reference SELF in their body. They are typically invoked as type_name.method().
You cannot map a MEMBER method in a Java class to a STATIC method in a SQLJ object type.
For both MEMBER and STATIC methods, you must specify a corresponding method body in the type body for each procedure or function specification.
See Also:
"Creating a Static Method: Example"[NOT] FINAL, [NOT] INSTANTIABLE
At the schema level of the syntax, these clauses specify the inheritance attributes of the type.
Use the [NOT] FINAL clause to indicate whether any further subtypes can be created for this type:
(Default) Specify FINAL if no further subtypes can be created for this type.
Specify NOT FINAL if further subtypes can be created under this type.
Use the [NOT] INSTANTIABLE clause to indicate whether any object instances of this type can be constructed:
(Default) Specify INSTANTIABLE if object instances of this type can be constructed.
Specify NOT INSTANTIABLE if no default or user-defined constructor exists for this ADT. You must specify these keywords for any type with noninstantiable methods and for any type that has no attributes, either inherited or specified in this statement.
Specify the relationship between supertypes and subtypes.
Specifies that this method overrides a MEMBER method defined in the supertype. This keyword is required if the method redefines a supertype method. Default: NOT OVERRIDING.
Restriction on OVERRIDING The OVERRIDING clause is not valid for a STATIC method or for a SQLJ object type.
Specifies that this method cannot be overridden by any subtype of this type. Default: NOT FINAL.
Specifies that the type does not provide an implementation for this method. Default: all methods are INSTANTIABLE.
Restriction on NOT INSTANTIABLE If you specify NOT INSTANTIABLE, then you cannot specify FINAL or STATIC.
See Also:
constructor_specprocedure_spec or function_spec
Specifies the parameters and data types of the procedure or function. If this subprogram does not include the declaration of the procedure or function, then you must issue a corresponding CREATE TYPE BODY statement.
Restriction on procedure_spec or function_spec If you are creating a subtype, then the name of the procedure or function cannot be the same as the name of any attribute, whether inherited or not, declared in the supertype chain.
The first form of the return_clause is valid only for a function. The syntax shown is an abbreviated form.
See Also:
"Collection Method Invocation" for information about method invocation and methods
"CREATE PROCEDURE Statement" and "CREATE FUNCTION Statement" for the full syntax with all possible clauses
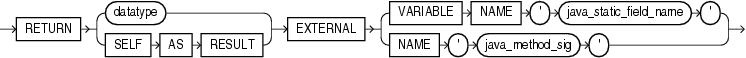
Use this form of the return_clause if you intend to create SQLJ object type functions or procedures.
If you are mapping a Java class to a SQLJ object type and you specify EXTERNAL NAME, then the value of the Java method returned must be compatible with the SQL returned value, and the Java method must be public. Also, the method signature (method name plus parameter types) must be unique in the type hierarchy.
If you specify EXTERNAL VARIABLE NAME, then the type of the Java static field must be compatible with the return type.
See "call_spec" and "EXTERNAL".
Deprecated clause, described in "RESTRICT_REFERENCES Pragma".
Creates a user-defined constructor, which is a function that returns an initialized instance of an ADT. You can declare multiple constructors for a single ADT, if the parameters of each constructor differ in number, order, or data type.
User-defined constructor functions are always FINAL and INSTANTIABLE, so these keywords are optional.
The parameter-passing mode of user-defined constructors is always SELF IN OUT. Therefore you need not specify this clause unless you want to do so for clarity.
RETURN SELF AS RESULT specifies that the runtime type of the value returned by the constructor is runtime type of the SELF argument.
See Also:
Oracle Database Object-Relational Developer's Guide for more information about and examples of user-defined constructors and "Constructor Example"You can define either one MAP method or one ORDER method in a type specification, regardless of how many MEMBER or STATIC methods you define. If you declare either method, then you can compare object instances in SQL.
You cannot define either MAP or ORDER methods for subtypes. However, a subtype can override a MAP method if the supertype defines a nonfinal MAP method. A subtype cannot override an ORDER method at all.
You can specify either MAP or ORDER when mapping a Java class to a SQL type. However, the MAP or ORDER methods must map to MEMBER functions in the Java class.
If neither a MAP nor an ORDER method is specified, then only comparisons for equality or inequality can be performed. Therefore object instances cannot be ordered. Instances of the same type definition are equal only if each pair of their corresponding attributes is equal. No comparison method must be specified to determine the equality of two ADTs.
Use MAP if you are performing extensive sorting or hash join operations on object instances. MAP is applied once to map the objects to scalar values, and then the database uses the scalars during sorting and merging. A MAP method is more efficient than an ORDER method, which must invoke the method for each object comparison. You must use a MAP method for hash joins. You cannot use an ORDER method because the hash mechanism hashes on the object value.
See Also:
Oracle Database Object-Relational Developer's Guide for more information about object value comparisonsSpecifies a MAP member function that returns the relative position of a given instance in the ordering of all instances of the object. A MAP method is called implicitly and induces an ordering of object instances by mapping them to values of a predefined scalar type. PL/SQL uses the ordering to evaluate Boolean expressions and to perform comparisons.
If the argument to the MAP method is null, then the MAP method returns null and the method is not invoked.
An object specification can contain only one MAP method, which must be a function. The result type must be a predefined SQL scalar type, and the MAP method can have no arguments other than the implicit SELF argument.
Note:
Iftype_name is to be referenced in queries containing sorts (through an ORDER BY, GROUP BY, DISTINCT, or UNION clause) or containing joins, and you want those queries to be parallelized, then you must specify a MAP member function.A subtype cannot define a new MAP method, but it can override an inherited MAP method.
Specifies an ORDER member function that takes an instance of an object as an explicit argument and the implicit SELF argument and returns either a negative, zero, or positive integer. The negative, positive, or zero indicates that the implicit SELF argument is less than, equal to, or greater than the explicit argument.
If either argument to the ORDER method is null, then the ORDER method returns null and the method is not invoked.
When instances of the same ADT definition are compared in an ORDER BY clause, the ORDER method map_order_function_spec is invoked.
An object specification can contain only one ORDER method, which must be a function having the return type NUMBER.
A subtype can neither define nor override an ORDER method.
Creates the type as an ordered set of elements, each of which has the same data type.
Restrictions on varray_type_def You can create a VARRAY type of XMLType or of a LOB type for procedural purposes, for example, in PL/SQL or in view queries. However, database storage of such a varray is not supported, so you cannot create an object table or an column of such a VARRAY type.
See Also:
"Varray Type Example"Creates a named nested table of type datatype.
ADT Examples This example shows how the sample type customer_typ was created for the sample Order Entry (oe) schema. A hypothetical name is given to the table so that you can duplicate this example in your test database:
CREATE TYPE customer_typ_demo AS OBJECT
( customer_id NUMBER(6)
, cust_first_name VARCHAR2(20)
, cust_last_name VARCHAR2(20)
, cust_address CUST_ADDRESS_TYP
, phone_numbers PHONE_LIST_TYP
, nls_language VARCHAR2(3)
, nls_territory VARCHAR2(30)
, credit_limit NUMBER(9,2)
, cust_email VARCHAR2(30)
, cust_orders ORDER_LIST_TYP
) ;
/
In this example, the data_typ1 ADT is created with one member function prod, which is implemented in the CREATE TYPE BODY statement:
CREATE TYPE data_typ1 AS OBJECT
( year NUMBER,
MEMBER FUNCTION prod(invent NUMBER) RETURN NUMBER
);
/
CREATE TYPE BODY data_typ1 IS
MEMBER FUNCTION prod (invent NUMBER) RETURN NUMBER IS
BEGIN
RETURN (year + invent);
END;
END;
/
Subtype Example This statement shows how the subtype corporate_customer_typ in the sample oe schema was created. It is based on the customer_typ supertype created in the preceding example and adds the account_mgr_id attribute. A hypothetical name is given to the table so that you can duplicate this example in your test database:
CREATE TYPE corporate_customer_typ_demo UNDER customer_typ
( account_mgr_id NUMBER(6)
);
SQLJ Object Type Example These examples create a SQLJ object type and subtype. The address_t type maps to the Java class Examples.Address. The subtype long_address_t maps to the Java class Examples.LongAddress. The examples specify SQLData as the mechanism used to create the Java instance of these types. Each of the functions in these type specifications has a corresponding implementation in the Java class.
See Also:
Oracle Database Object-Relational Developer's Guide for the Java implementation of the functions in these type specifications
CREATE TYPE address_t AS OBJECT
EXTERNAL NAME 'Examples.Address' LANGUAGE JAVA
USING SQLData(
street_attr varchar(250) EXTERNAL NAME 'street',
city_attr varchar(50) EXTERNAL NAME 'city',
state varchar(50) EXTERNAL NAME 'state',
zip_code_attr number EXTERNAL NAME 'zipCode',
STATIC FUNCTION recom_width RETURN NUMBER
EXTERNAL VARIABLE NAME 'recommendedWidth',
STATIC FUNCTION create_address RETURN address_t
EXTERNAL NAME 'create() return Examples.Address',
STATIC FUNCTION construct RETURN address_t
EXTERNAL NAME 'create() return Examples.Address',
STATIC FUNCTION create_address (street VARCHAR, city VARCHAR,
state VARCHAR, zip NUMBER) RETURN address_t
EXTERNAL NAME 'create (java.lang.String, java.lang.String, java.lang.String, int) return Examples.Address',
STATIC FUNCTION construct (street VARCHAR, city VARCHAR,
state VARCHAR, zip NUMBER) RETURN address_t
EXTERNAL NAME
'create (java.lang.String, java.lang.String, java.lang.String, int) return Examples.Address',
MEMBER FUNCTION to_string RETURN VARCHAR
EXTERNAL NAME 'tojava.lang.String() return java.lang.String',
MEMBER FUNCTION strip RETURN SELF AS RESULT
EXTERNAL NAME 'removeLeadingBlanks () return Examples.Address'
) NOT FINAL;
/
CREATE OR REPLACE TYPE long_address_t
UNDER address_t
EXTERNAL NAME 'Examples.LongAddress' LANGUAGE JAVA
USING SQLData(
street2_attr VARCHAR(250) EXTERNAL NAME 'street2',
country_attr VARCHAR (200) EXTERNAL NAME 'country',
address_code_attr VARCHAR (50) EXTERNAL NAME 'addrCode',
STATIC FUNCTION create_address RETURN long_address_t
EXTERNAL NAME 'create() return Examples.LongAddress',
STATIC FUNCTION construct (street VARCHAR, city VARCHAR,
state VARCHAR, country VARCHAR, addrs_cd VARCHAR)
RETURN long_address_t
EXTERNAL NAME
'create(java.lang.String, java.lang.String,
java.lang.String, java.lang.String, java.lang.String)
return Examples.LongAddress',
STATIC FUNCTION construct RETURN long_address_t
EXTERNAL NAME 'Examples.LongAddress()
return Examples.LongAddress',
STATIC FUNCTION create_longaddress (
street VARCHAR, city VARCHAR, state VARCHAR, country VARCHAR,
addrs_cd VARCHAR) return long_address_t
EXTERNAL NAME
'Examples.LongAddress (java.lang.String, java.lang.String,
java.lang.String, java.lang.String, java.lang.String)
return Examples.LongAddress',
MEMBER FUNCTION get_country RETURN VARCHAR
EXTERNAL NAME 'country_with_code () return java.lang.String'
);
/
Type Hierarchy Example These statements create a type hierarchy. Type employee_t inherits the name and ssn attributes from type person_t and in addition has department_id and salary attributes. Type part_time_emp_t inherits all of the attributes from employee_t and, through employee_t, those of person_t and in addition has a num_hrs attribute. Type part_time_emp_t is final by default, so no further subtypes can be created under it.
CREATE TYPE person_t AS OBJECT (name VARCHAR2(100), ssn NUMBER) NOT FINAL; / CREATE TYPE employee_t UNDER person_t (department_id NUMBER, salary NUMBER) NOT FINAL; / CREATE TYPE part_time_emp_t UNDER employee_t (num_hrs NUMBER); /
You can use type hierarchies to create substitutable tables and tables with substitutable columns.
Varray Type Example This statement shows how the phone_list_typ VARRAY type with five elements in the sample oe schema was created. A hypothetical name is given to the table so that you can duplicate this example in your test database:
CREATE TYPE phone_list_typ_demo AS VARRAY(5) OF VARCHAR2(25);
Nested Table Type Example This example from the sample schema pm creates the table type textdoc_tab of type textdoc_typ:
CREATE TYPE textdoc_typ AS OBJECT
( document_typ VARCHAR2(32)
, formatted_doc BLOB
) ;
CREATE TYPE textdoc_tab AS TABLE OF textdoc_typ;
Nested Table Type Containing a Varray This example of multilevel collections is a variation of the sample table oe.customers. In this example, the cust_address object column becomes a nested table column with the phone_list_typ varray column embedded in it. The phone_list_typ type was created in "Varray Type Example".
CREATE TYPE cust_address_typ2 AS OBJECT
( street_address VARCHAR2(40)
, postal_code VARCHAR2(10)
, city VARCHAR2(30)
, state_province VARCHAR2(10)
, country_id CHAR(2)
, phone phone_list_typ_demo
);
CREATE TYPE cust_nt_address_typ
AS TABLE OF cust_address_typ2;
Constructor Example This example invokes the system-defined constructor to construct the demo_typ object and insert it into the demo_tab table:
CREATE TYPE demo_typ1 AS OBJECT (a1 NUMBER, a2 NUMBER); CREATE TABLE demo_tab1 (b1 NUMBER, b2 demo_typ1); INSERT INTO demo_tab1 VALUES (1, demo_typ1(2,3));
See Also:
Oracle Database Object-Relational Developer's Guide for more information about constructorsCreating a Member Method: Example This example invokes method constructor col.get_square. First the type is created:
CREATE TYPE demo_typ2 AS OBJECT (a1 NUMBER, MEMBER FUNCTION get_square RETURN NUMBER);
Next a table is created with an ADT column and some data is inserted into the table:
CREATE TABLE demo_tab2(col demo_typ2); INSERT INTO demo_tab2 VALUES (demo_typ2(2));
The type body is created to define the member function, and the member method is invoked:
CREATE TYPE BODY demo_typ2 IS
MEMBER FUNCTION get_square
RETURN NUMBER
IS x NUMBER;
BEGIN
SELECT c.col.a1*c.col.a1 INTO x
FROM demo_tab2 c;
RETURN (x);
END;
END;
/
SELECT t.col.get_square() FROM demo_tab2 t;
T.COL.GET_SQUARE()
------------------
4
Unlike function invocations, method invocations require parentheses, even when the methods do not have additional arguments.
Creating a Static Method: Example This example changes the definition of the employee_t type to associate it with the construct_emp function. The example first creates an ADT department_t and then an ADT employee_t containing an attribute of type department_t:
CREATE OR REPLACE TYPE department_t AS OBJECT (
deptno number(10),
dname CHAR(30));
CREATE OR REPLACE TYPE employee_t AS OBJECT(
empid RAW(16),
ename CHAR(31),
dept REF department_t,
STATIC function construct_emp
(name VARCHAR2, dept REF department_t)
RETURN employee_t
);
This statement requires this type body statement.
CREATE OR REPLACE TYPE BODY employee_t IS
STATIC FUNCTION construct_emp
(name varchar2, dept REF department_t)
RETURN employee_t IS
BEGIN
return employee_t(SYS_GUID(),name,dept);
END;
END;
Next create an object table and insert into the table:
CREATE TABLE emptab OF employee_t;
INSERT INTO emptab
VALUES (employee_t.construct_emp('John Smith', NULL));
See Also:
Oracle Database Object-Relational Developer's Guide for more information about objects, incomplete types, varrays, and nested tables