Use the CREATE DIMENSION statement to create a dimension. A dimension defines a parent-child relationship between pairs of column sets, where all the columns of a column set must come from the same table. However, columns in one column set (called a level) can come from a different table than columns in another set. The optimizer uses these relationships with materialized views to perform query rewrite. The SQL Access Advisor uses these relationships to recommend creation of specific materialized views.
Note:
Oracle Database does not automatically validate the relationships you declare when creating a dimension. To validate the relationships specified in thehierarchy_clause and the dimension_join_clause of CREATE DIMENSION, you must run the DBMS_OLAP.VALIDATE_DIMENSION procedure.See Also:
CREATE MATERIALIZED VIEW for more information on materialized views
Oracle Database Performance Tuning Guide for more information on query rewrite, the optimizer and the SQL Access Advisor
To create a dimension in your own schema, you must have the CREATE DIMENSION system privilege. To create a dimension in another user's schema, you must have the CREATE ANY DIMENSION system privilege. In either case, you must have the SELECT object privilege on any objects referenced in the dimension.

level_clause ::=

hierarchy_clause ::=

attribute_clause ::=


Specify the schema in which the dimension will be created. If you do not specify schema, then Oracle Database creates the dimension in your own schema.
Specify the name of the dimension. The name must be unique within its schema and satisfy the requirements listed in "Database Object Naming Rules".
The level_clause defines a level in the dimension. A level defines dimension hierarchies and attributes.
level Specify the name of the level.
level_table . level_column Specify the columns in the level. You can specify up to 32 columns. The tables you specify in this clause must already exist.
SKIP WHEN NULL Specify this clause to indicate that if the specified level is NULL, then the level is to be skipped. This clause lets you preserve the hierarchical chain of parent-child relationship by an alternative path that skips over the specified level. See hierarchy_clause .
Restrictions on Dimension Level Columns Dimension level columns are subject to the following restrictions:
All of the columns in a level must come from the same table.
If columns in different levels come from different tables, then you must specify the dimension_join_clause.
The set of columns you specify must be unique to this level.
The columns you specify cannot be specified in any other dimension.
Each level_column must be non-null unless the level is specified with SKIP WHEN NULL. The non-null columns need not have NOT NULL constraints. The column for which you specify SKIP WHEN NULL cannot have a NOT NULL constraint).
The hierarchy_clause defines a linear hierarchy of levels in the dimension. Each hierarchy forms a chain of parent-child relationships among the levels in the dimension. Hierarchies in a dimension are independent of each other. They may, but need not, have columns in common.
Each level in the dimension should be specified at most once in this clause, and each level must already have been named in the level_clause.
hierarchy Specify the name of the hierarchy. This name must be unique in the dimension.
child_level Specify the name of a level that has an n:1 relationship with a parent level. The level_columns of child_level cannot be null, and each child_level value uniquely determines the value of the next named parent_level.
If the child level_table is different from the parent level_table, then you must specify a join relationship between them in the dimension_join_clause.
parent_level Specify the name of a level.
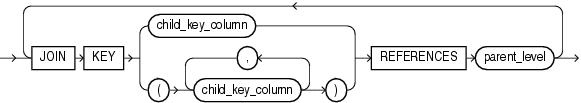
The dimension_join_clause lets you specify an inner equijoin relationship for a dimension whose columns are contained in multiple tables. This clause is required and permitted only when the columns specified in the hierarchy are not all in the same table.
Specify one or more columns that are join-compatible with columns in the parent level.
If you do not specify the schema and table of each child_column, then the schema and table are inferred from the CHILD OF relationship in the hierarchy_clause. If you do specify the schema and column of a child_key_column, then the schema and table must match the schema and table of columns in the child of parent_level in the hierarchy_clause.
Specify the name of a level.
Restrictions on Join Dimensions Join dimensions are subject to the following restrictions:
You can specify only one dimension_join_clause for a given pair of levels in the same hierarchy.
The child_key_columns must be non-null, and the parent key must be unique and non-null. You need not define constraints to enforce these conditions, but queries may return incorrect results if these conditions are not true.
Each child key must join with a key in the parent_level table.
Self-joins are not permitted. The child_key_columns cannot be in the same table as parent_level.
All of the child key columns must come from the same table.
The number of child key columns must match the number of columns in parent_level, and the columns must be joinable.
You cannot specify multiple child key columns unless the parent level consists of multiple columns.
The attribute_clause lets you specify the columns that are uniquely determined by a hierarchy level. The columns in level must all come from the same table as the dependent_columns. The dependent_columns need not have been specified in the level_clause.
For example, if the hierarchy levels are city, state, and country, then city might determine mayor, state might determine governor, and country might determine president.
This clause lets you specify an attribute name for one or more level-to-column relations. The type of attribute you create with this clause is not different from the type of attribute created using the attribute_clause. The only difference is that this clause lets you assign a name to the attribute that is different from the level name.
Creating a Dimension: Examples This statement was used to create the customers_dim dimension in the sample schema sh:
CREATE DIMENSION customers_dim
LEVEL customer IS (customers.cust_id)
LEVEL city IS (customers.cust_city)
LEVEL state IS (customers.cust_state_province)
LEVEL country IS (countries.country_id)
LEVEL subregion IS (countries.country_subregion)
LEVEL region IS (countries.country_region)
HIERARCHY geog_rollup (
customer CHILD OF
city CHILD OF
state CHILD OF
country CHILD OF
subregion CHILD OF
region
JOIN KEY (customers.country_id) REFERENCES country
)
ATTRIBUTE customer DETERMINES
(cust_first_name, cust_last_name, cust_gender,
cust_marital_status, cust_year_of_birth,
cust_income_level, cust_credit_limit)
ATTRIBUTE country DETERMINES (countries.country_name)
;
Creating a Dimension with Extended Attributes: Example Alternatively, the extended_attribute_clause could have been used instead of the attribute_clause, as shown in the following example:
CREATE DIMENSION customers_dim
LEVEL customer IS (customers.cust_id)
LEVEL city IS (customers.cust_city)
LEVEL state IS (customers.cust_state_province)
LEVEL country IS (countries.country_id)
LEVEL subregion IS (countries.country_subregion)
LEVEL region IS (countries.country_region)
HIERARCHY geog_rollup (
customer CHILD OF
city CHILD OF
state CHILD OF
country CHILD OF
subregion CHILD OF
region
JOIN KEY (customers.country_id) REFERENCES country
)
ATTRIBUTE customer_info LEVEL customer DETERMINES
(cust_first_name, cust_last_name, cust_gender,
cust_marital_status, cust_year_of_birth,
cust_income_level, cust_credit_limit)
ATTRIBUTE country DETERMINES (countries.country_name);
Creating a Dimension with NULL Column Values: Example The following example shows how to create the dimension if one of the level columns is null and you want to preserve the hierarchical chain. The example uses the cust_marital_status column for simplicity because it is not a NOT NULL column. If it had such a constraint, then you would have to disable the constraint before using the SKIP WHEN NULL clause.
CREATE DIMENSION customers_dim
LEVEL customer IS (customers.cust_id)
LEVEL status IS (customers.cust_marital_status) SKIP WHEN NULL
LEVEL city IS (customers.cust_city)
LEVEL state IS (customers.cust_state_province)
LEVEL country IS (countries.country_id)
LEVEL subregion IS (countries.country_subregion) SKIP WHEN NULL
LEVEL region IS (countries.country_region)
HIERARCHY geog_rollup (
customer CHILD OF
city CHILD OF
state CHILD OF
country CHILD OF
subregion CHILD OF
region
JOIN KEY (customers.country_id) REFERENCES country
)
ATTRIBUTE customer DETERMINES
(cust_first_name, cust_last_name, cust_gender,
cust_marital_status, cust_year_of_birth,
cust_income_level, cust_credit_limit)
ATTRIBUTE country DETERMINES (countries.country_name)
;